 
 
 
 
 
   
この章では力学過程の支配方程式を記し, その支配方程式の離散化を 行う.
ここで述べる力学過程とは, 流体の支配方程式における外力項を除いた部分を指す. 外力項である放射や鉛直乱流拡散や雲などに関する過程については 別紙を参照のこと.
離散化については, 空間に関する離散化である鉛直離散化と, 水平離散化の方法ならびに時間に関する離散化を行う.
ここでは力学過程の支配方程式系を示す. この方程式系の詳細に関しては, Haltiner and Williams (1980) もしくは 別紙『 支配方程式系の導出に関する参考資料』 の『力学過程の支配方程式系の導出』を参照せよ.
ここで, 独立変数は以下の通りである.
|  | ![$\displaystyle : \quad 緯度 [\mathrm{deg.}],$](img115.png) | (3.7) | 
|  | ![$\displaystyle : \quad 経度 [\mathrm{deg.}],$](img117.png) | (3.8) | 
|  |  | (3.9) | 
|  | ![$\displaystyle : \quad 時間 [\mathrm{s}].$](img121.png) | (3.10) | 
 は気圧,
は気圧,  は地表面気圧である.
また
 は地表面気圧である.
また 
 である.
 である. 
モデルで時間発展を計算することとなる予報変数は以下の通りである.
|  |  | (3.16) | 
|  |  | (3.17) | 
|  |  東西風速  | (3.18) | 
|  |  南北風速 | (3.19) | 
 と速度ポテンシャル
と速度ポテンシャル を導入すると,
を導入すると,
 ,
,  ,
,  ,
,  はそれぞれ以下のように表わされる.
はそれぞれ以下のように表わされる. 
|  | ![$\displaystyle \equiv gz : \quad ジオポテンシャル高度 [\mathrm{m}^{2}\ \mathrm{s}^{-2}],$](img156.png) | (3.24) | 
|  |  | (3.25) | 
|  | ![$\displaystyle : \quad 基準温度 [\mathrm{K}],$](img160.png) | (3.26) | 
|  |  | (3.27) | 
|  |  | (3.28) | 
|  |  | (3.29) | 
|  |  | (3.30) | 
|  |  | (3.31) | 
|  |  | (3.32) | 
|  | ![$\displaystyle \equiv \frac{1}{a^{2} (1-\mu^2)} \DP[2]{}{\lambda} + \frac{1}{a^{2}} \DP{}{\mu} \left[ (1-\mu^2) \DP{}{\mu} \right],$](img174.png) | (3.33) | 
| KE  |  | (3.34) | 
|  |  | (3.35) | 
|  |  | (3.36) | 
|  |  | (3.37) | 
|  |  | (3.38) | 
|  |  | (3.39) | 
|  |  | (3.40) | 
|  |  | (3.41) | 
|  |  | (3.42) | 
|  |  | (3.43) | 
|  | ![$\displaystyle : \quad 惑星半径 [\mathrm{m}],$](img196.png) | (3.44) | 
|  | ![$\displaystyle : \quad 乾燥大気の気体定数 [\mathrm{J\ kg}^{-1}\ \mathrm{K}^{-1}],$](img198.png) | (3.45) | 
|  | ![$\displaystyle : \quad 乾燥大気の大気定圧比熱 [\mathrm{J\ kg}^{-1}\ \mathrm{K}^{-1}],$](img200.png) | (3.46) | 
|  | ![$\displaystyle : \quad コリオリパラメータ [\mathrm{s}^{-1}],$](img202.png) | (3.47) | 
|  |  | (3.48) | 
|  |  | (3.49) | 
鉛直流に関する境界条件は
|  | (3.50) | 
 系での鉛直速度
系での鉛直速度
 を求める診断式
を求める診断式
水平拡散とスポンジ層における渦度と発散の散逸は次のように表現する.
|  |  | (3.53) | 
|  |  | (3.54) | 
|  |  | (3.55) | 
|  |  | (3.56) | 
 ,
, 
 はそれぞれ水平拡散とスポンジ層における
散逸を表す.
 はそれぞれ水平拡散とスポンジ層における
散逸を表す. 
水平拡散項は, 次のように 
 の形で計算する.
 の形で計算する. 
| ![$\displaystyle {\cal D_{HD}}(D) = - K_{HD} \left[ (-1)^{N_D/2} \nabla^{N_D} - \left( \frac{2}{a^2} \right)^{N_D/2} \right] D ,$](img219.png) | (3.58) | 
|  | (3.59) | 
|  | (3.60) | 
 には 4
 には 4 16 を用いることが多い.
16 を用いることが多い.
スポンジ層における運動量の散逸項は, 東西平均成分を減衰させる場合とさせない場合の 2 通りの 計算法を導入する. 東西平均成分も減衰させる場合には,
|  |  | (3.61) | 
|  |  | (3.62) | 
 はスポンジ層における運動量の減衰係数である. 
東西平均成分を減衰させない場合には,
 はスポンジ層における運動量の減衰係数である. 
東西平均成分を減衰させない場合には, 
|  |  | (3.63) | 
|  |  | (3.64) | 
 は, 東西平均を表す.
 は, 東西平均を表す. 
スポンジ層内の温度擾乱の減衰には以下の項を導入する.
|  |  | (3.65) | 
 はスポンジ層における温度擾乱の減衰係数である.
 はスポンジ層における温度擾乱の減衰係数である. 
減衰係数  ,
,  の
 の  依存性に一般形はないが, dcpam では
下のような
 依存性に一般形はないが, dcpam では
下のような  依存性を考慮する.
 依存性を考慮する. 
|  | (3.66) | 
|  | (3.67) | 
 ,
, 
 ,
,  ,
, 
 はそれぞれ,
 はそれぞれ, 
 における減衰係数,
 における減衰係数,  依存性の指数, スポンジ層の
下限の
 依存性の指数, スポンジ層の
下限の  である. 
dcpam では,
 である. 
dcpam では,  はモデル最上層の
 はモデル最上層の  としている.
 としている. 
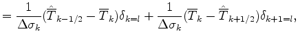
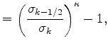
ここでは支配方程式を鉛直方向に離散化する. Arakawa and Suarez(1983) に従って, (3.1)〜(3.6) を鉛直方向に差分によって離散化する. 各方程式の離散化表現は次のようになる.
|  |  | (3.68) | 
|  |  | (3.69) | 
|  |  | (3.70) | 
|  | (3.71) | 
|  | (3.72) | 
|  | (3.73) | 
 は地表面高度である.
は地表面高度である. 
|  | (3.79) | 
|  | (3.80) | 
|  | (3.81) | |
|  |  | (3.82) | 
|  KE  |  | (3.83) | 
|  | (3.84) | 
|  | (3.85) | 
|  | (3.86) | 
ここでは支配方程式を水平離散化する. 
水平方向の離散化はスペクトル変換法を用いる (Bourke, 1988). 
非線形項は格子点上で計算する. 
各方程式のスペクトル表現は以下のようになる. 
スペクトル表現に関する記号の意味については
2.5節を参照されたい. 
その詳細については第A章
を参照せよ.
なお, 簡単化のため, 部分的に鉛直方向添字 を省略する.
を省略する. 
|  |  | (3.91) | 
|  | (3.92) | 
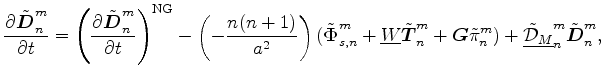
|  | ![$\displaystyle = - K_{HD} \left[ \left( \frac{-n(n+1)}{a^{2}} \right)^{N_D/2} - \left( \frac{2}{a^2} \right)^{N_D/2} \right] - \tilde{\gamma}_{M,k,n}^m ,$](img289.png) | (3.95) | 
|  |  | (3.96) | 
 はスポンジ層を適応する下限の
 はスポンジ層を適応する下限の  である. 
また, スポンジ層において東西平均成分も減衰させる場合には,
 である. 
また, スポンジ層において東西平均成分も減衰させる場合には, 
 であり, 東西平均成分を
減衰させない場合には,
 であり, 東西平均成分を
減衰させない場合には, 
|  |  | (3.97) | 
|  | (3.98) | 
|  |  | (3.99) | 
|  |  | (3.100) | 
|  |  | (3.101) | 
|  | (3.102) | 
|  |  | (3.103) | 
ここでは時間積分スキームについて記す.
時間差分には, 複数の方法を組み合わせて用いる. 用いる方法の 概要を以下に示す.
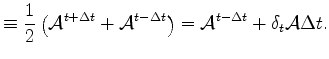
この方法は, 予報変数を  と表すと, 以下の 3 式で表現される.
 と表すと, 以下の 3 式で表現される. 
|  | (3.105) | 
|  | (3.106) | 
 ,
, 
 はそれぞれ, 
力学過程において semi-implicit 法で分離された重力波項 (線型項) と非重力波項 (非線型項),
 はそれぞれ, 
力学過程において semi-implicit 法で分離された重力波項 (線型項) と非重力波項 (非線型項), 
 は水平拡散とスポンジ層における減衰項,
 は水平拡散とスポンジ層における減衰項,
 は予報型の物理過程項である.
 は予報型の物理過程項である.
 ,
, 
 は, それぞれ
摩擦熱による加熱項および調節型の物理過程項である.
 は, それぞれ
摩擦熱による加熱項および調節型の物理過程項である. 
 は時間フィルタの係数であり, dcpam での標準値は 0.05 としている.
 は時間フィルタの係数であり, dcpam での標準値は 0.05 としている. 
まず, semi-implicit 法を用いるために, 方程式系を 
 である
静止場に基づいて線形重力波項とそれ以外の項に分離する. 
鉛直方向のベクトル表現
 である
静止場に基づいて線形重力波項とそれ以外の項に分離する. 
鉛直方向のベクトル表現 
 ,
および行列表現
,
および行列表現
 を用いると, 連続の式, 発散方程式, 
熱力学の式は,
 を用いると, 連続の式, 発散方程式, 
熱力学の式は, 
|  | (3.107) | 
|  | (3.108) | 
|  |  | (3.109) | 
 や
や
![$ \widetilde{[ \hspace{0.5cm} ]}^{m}_{n}$](img327.png) といった表記については
2.5節の
(2.10), 
(2.15), (2.17)
を参照のこと. 
ここで, 
添字 NG の付いた項は, 非重力波項であり, 
以下のように表される.
といった表記については
2.5節の
(2.10), 
(2.15), (2.17)
を参照のこと. 
ここで, 
添字 NG の付いた項は, 非重力波項であり, 
以下のように表される.
 の
表記を省略する.
 の
表記を省略する. 
|  |  | (3.113) | 
| ![\begin{align*}\begin{split}H_k & = T_{k}^{\prime} D_{k} \\ & \quad - \frac{1}{\D...
...lta \sigma_{K} + T'_{v,K} D_K \Delta \sigma_{K} \right], \end{split}\end{align*}](img334.png) | (3.114) | 
|  | (3.115) | 
|  | (3.116) | 
|  | (3.117) | 
 は,
 は, 
 が成り立つとき 1, そうでないとき 0 となる関数である.
 が成り立つとき 1, そうでないとき 0 となる関数である.
なお, 渦度方程式には線型重力波項がないため, ここでは示さない. 3.2
これらの方程式に,
|  |  | (3.130) | 
|  |  | (3.131) | 
(3.127), (3.128), (3.129)
より, 
 について整理すると,
 について整理すると, 
となる. ここで
 は単位行列,
は単位行列, 
 は
は の
転置ベクトルである. 
(3.132)
を
の
転置ベクトルである. 
(3.132)
を 
 について解き,
 について解き, 
|  | (3.133) | 
 が求められる.
 が求められる.
 である.
 である. 
    
 
 
 
 
