 
 
 
 
 
   
ここでは, 座標系および水平格子点, 鉛直レベルの取り方を記す. さらに, 力学過程の時間積分において使用する 水平スペクトルを定義し, 格子点値とスペクトルの係数との変換則を記す.
座標系は, 水平方向には緯度  , 経度
, 経度  を, 
鉛直方向には
 を, 
鉛直方向には
 をとる. ここで
 
をとる. ここで  は気圧,
は気圧,  は地表面気圧である.
は地表面気圧である. 
座標の取り方に関する詳細は別紙『 支配方程式系の導出に関する参考資料』 の『座標系の取り方』を参照せよ.
水平方向の格子点の位置は, Gauss 緯度 (格子点数  個
    2.1), 
等間隔の経度 (同
 個
    2.1), 
等間隔の経度 (同  個) である.
 個) である. 
Gauss 緯度を  次のLegendre函数
次のLegendre函数
 の零点
 の零点
  
 として定義する. 
  順番としては,
 として定義する. 
  順番としては, 
  
 とする
      2.2.
  なお以後,
 
  とする
      2.2.
  なお以後, 
 と書くことがある.
 と書くことがある. 
経度方向の格子点の位置を
  
|  | (2.1) | 
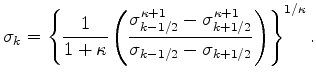
Arakawa and Suarez (1983) のスキームを用いる. 
とり方は以下のとおりである
    2.3. 
下の層から上へと層の番号をつける.
整数レベルと半整数レベルを定義する
    2.4.
半整数レベルでの  の値
 の値 
 を定義する.
ここで, レベル
 を定義する.
ここで, レベル 
 は下端(
 は下端( ),
レベル
),
レベル 
 は上端(
 は上端( )とする.
整数レベルの
)とする.
整数レベルの  の値
 の値
 は次の式から求める.
は次の式から求める.
 ,
, 
 は乾燥空気の気体定数,
 は乾燥空気の気体定数, 
 は乾燥空気の定圧比熱である
       2.5. 
また, レベル加重
 は乾燥空気の定圧比熱である
       2.5. 
また, レベル加重 
 は以下のように定義される.
は以下のように定義される.
 
ここでは, 力学過程の時間積分での計算において用いるスペクトルを導入し, 格子点での値とスペクトルの係数とのやり取りの公式を示す.
格子点上の点で定義された物理量は, 
格子点上でのみ値を持つ (以下このことを, 「離散化した」と呼ぶ) 
球面調和函数の和の形で表現される. 
また, 各格子点における物理量の水平微分を評価するために, 
 面で定義された (以下, 「連続系の」と呼ぶ) 
球面調和函数系で内挿して得られる関数を用いる. 
ここではその球面調和函数を導入する. 
なお, 簡単のために, 連続系の球面調和函数のみを陽に記す. 
離散系の球面調和函数は
連続系の球面調和函数に格子点の座標を代入したものから構成される.
 面で定義された (以下, 「連続系の」と呼ぶ) 
球面調和函数系で内挿して得られる関数を用いる. 
ここではその球面調和函数を導入する. 
なお, 簡単のために, 連続系の球面調和函数のみを陽に記す. 
離散系の球面調和函数は
連続系の球面調和函数に格子点の座標を代入したものから構成される. 
 面において, 
球面調和函数
 面において, 
球面調和函数
 は次のように定義される.
 
は次のように定義される.
|  | (2.4) | 
 は
 は 
 を満たす整数であり,
 を満たす整数であり, 
 は
2で規格化されたLegendre函数・陪函数
 は
2で規格化されたLegendre函数・陪函数
| ![$\displaystyle P_n^m(\mu)\equiv \sqrt{\frac{(2n+1)(n-\vert m\vert)!}{(n+\vert m\...
...u^2)^{\frac{\vert m\vert}{2}} }{2^n n!} \DD[n+\vert m\vert]{}{\mu} (\mu^2-1)^n,$](img45.png) | (2.5) | |
|  | (2.6) | 
 を
 を  とも書く.
また
 とも書く.
また 
 であることを再掲しておく.
 であることを再掲しておく. 
波数切断は三角形切断 (T) または平行四辺形切断 (R) とする. 
 ,
,  は三角形切断, 平行四辺形切断のときについて
それぞれ以下のとおりである. 
ただし, 切断波数を
 は三角形切断, 平行四辺形切断のときについて
それぞれ以下のとおりである. 
ただし, 切断波数を  とする.
 とする.
  
 ,
 ,   
        
 , かつ
, かつ
        
 .
. 
自由度は, 
 である.
 である.  
 ,
 ,   
        
 , かつ
, かつ
        
 .
. 
自由度は, 
 である.
 である. 
よく用いられる値の例としては, 
T42 の場合 
 , 
R21 の場合
, 
R21 の場合 
 がある.
 がある. 
球面調和函数と波数切断に関する詳細は, 第A.1節および第A.8節 を参照せよ.
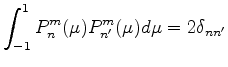
離散化したLegendre函数と三角関数は 次の直交条件を満たす 2.6.
|  |  | (2.7) | 
|  |  | (2.8) | 
 は Gauss 荷重で,
 は Gauss 荷重で, 
 である.
である. 
物理量  の
格子点
 の
格子点 
 (ただし
 
 (ただし 
 ) での値
) での値
 と
スペクトル空間での
 と
スペクトル空間での  (ただし
 
 (ただし 
 ) 
の係数
 ) 
の係数 
 とは次の変換則に従う
       2.7.
 とは次の変換則に従う
       2.7. 
 が実数であることを用いると,
 が実数であることを用いると, 
 なので,
なので, 
 については負でない整数の範囲で
和をとることができる
   2.8. 
ここで, ``
 については負でない整数の範囲で
和をとることができる
   2.8. 
ここで, `` '' は複素共役を表す. 
ただし,
'' は複素共役を表す. 
ただし,  の定義を以下のように修正していることに注意せよ.
 の定義を以下のように修正していることに注意せよ. 
|  |  | (2.11) | 
|  |  | (2.12) | 
 空間で定義される物理量
 空間で定義される物理量 
 を
格子点値
 を
格子点値  をもとに内挿する場合には, 
変換公式を用いて
 をもとに内挿する場合には, 
変換公式を用いて  から
 から 
 を求めた上で,
 を求めた上で,
|  |  | (2.13) | 
各格子点における空間微分値の評価は, 内挿公式を用いて得た連続関数の空間微分の格子点値で評価する.
 微分
 微分
     
 微分
 微分
     
 は偶数とする.
      dcpam5では, (Gauss 緯度としてとる場合には)
 は偶数とする.
      dcpam5では, (Gauss 緯度としてとる場合には)
       は偶数でなければならない.
 は偶数でなければならない.
    
 次の Legendre 函数
 次の Legendre 函数  は
 は
        
![$\displaystyle \left[
\DD{}{\mu}
\left\{ (1-\mu^2) \DD{}{\mu} \right\}
+ J(J+1) \right] P_J(\mu) = 0
$](img20.png) 
 次多項式であり,
 次多項式であり, 
         の零点は全て
 の零点は全て 
 にある. 
なお, Gauss 緯度は近似的には
 にある. 
なお, Gauss 緯度は近似的には
        
 で与えられる.
 で与えられる. 
      
 が,
 が, 
       が 偶数 (even) の時
 が 偶数 (even) の時  について対称,
 について対称, 
       が 奇数 (odd) の時
 が 奇数 (odd) の時  について反対称
      であることを考慮して演算回数を減らすことができる. 
      すなわち,
 について反対称
      であることを考慮して演算回数を減らすことができる. 
      すなわち,  の計算では北半球のみについて
      南北対称成分
 の計算では北半球のみについて
      南北対称成分
 と
      反対称成分
と
      反対称成分
 について
      それぞれ計算し, 南半球については
について
      それぞれ計算し, 南半球については 
      
 とすればよい. 
      また,
      とすればよい. 
      また,  の計算においては, 
      その対称性, 反対称性に基づいて
 の計算においては, 
      その対称性, 反対称性に基づいて
      
 または
 または
      
 の一方を
 の一方を
       について 1から
 について 1から  まで加えればよい.
 まで加えればよい. 
 
 
 
 
