Fluid Dynamics in Earth and Planetary Sciences (FDEPS)  Second FDEPS Workshop  Dec 4 - 8, 1999  Graduate School of Mathematical Sciences, University of Tokyo


Lecture 4. Anomalous diffusion
W. R. Young

2000 年 12 月 08 日

OHP 資料一覧

目次

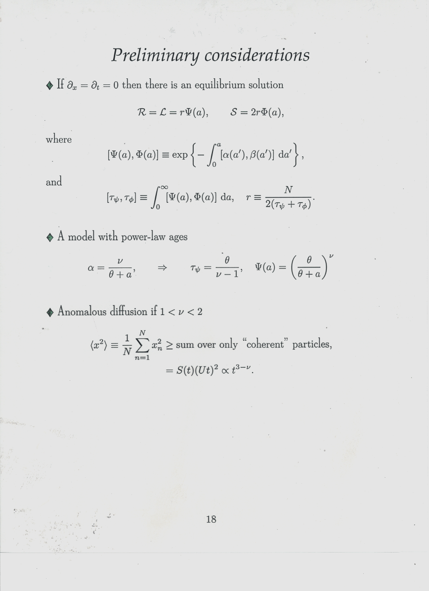
  1. 電信方程式

  1. 電信モデル(The telegraph model), 電信方程式(The telegraph equation)


地球流体セミナー運営グループ
2000/12/08 作成 (by 竹広真一)
2000/12/10 改訂 (by 竹広真一)