next up previous
: 3. 力学過程 : dcpam5 支配方程式系とその離散化 : 1. この文書について


2. 座標系・変換公式

2.1 はじめに

ここでは, 座標系および水平格子点, 鉛直レベルの取り方を記す. さらに, 力学過程の時間積分において使用する 水平スペクトルを定義し, 格子点値とスペクトルの係数との変換則を記す.

2.2 座標系

座標系は, 水平方向には緯度 $ \varphi$, 経度 $ \lambda$ を, 鉛直方向には $ {\displaystyle \sigma \equiv \frac{p}{p_s} }$ をとる. ここで $ p$は気圧, $ p_s$は地表面気圧である.

座標の取り方に関する詳細は別紙『 支配方程式系の導出に関する参考資料』 の『座標系の取り方』を参照せよ.

2.3 水平格子点

水平方向の格子点の位置は, Gauss 緯度 (格子点数 $ J$2.1), 等間隔の経度 (同 $ I$ 個) である.

2.4 鉛直レベル

Arakawa and Suarez (1983) のスキームを用いる. とり方は以下のとおりである 2.3. 下の層から上へと層の番号をつける. 整数レベルと半整数レベルを定義する 2.4. 半整数レベルでの $ \sigma$ の値 $ \sigma_{k-1/2} \ (k=1,2,\cdots,K)$ を定義する. ただし, レベル $ \frac{1}{2}$ は下端($ \sigma=1$), レベル $ K+\frac{1}{2}$ は上端($ \sigma=0$)とする. 整数レベルの $ \sigma$ の値 $ \sigma_k \ (k=1,2,\ldots K)$ は次の式から求める.

$\displaystyle \sigma_k = \left\{ \frac{1}{1+\kappa} \left( \frac{ \sigma^{\kapp...
... +1}_{k+1/2} } { \sigma_{k-1/2} - \sigma_{k+1/2} } \right) \right\}^{1/\kappa}.$ (2.3)

ただし, $ {\displaystyle \kappa=\frac{R}{C_p} }$ である. ここで, $ R$ は乾燥空気の気体定数, $ C_p$ は乾燥空気の定圧比熱である 2.5. また, レベル加重 $ \Delta \sigma$は以下のように定義される.

\begin{align*}\begin{split}\Delta \sigma_k &\equiv \sigma_{k-1/2} - \sigma_{k+1/...
...K+1/2} &\equiv \sigma_{K} - \sigma_{K+1/2} = \sigma_{K}. \end{split}\end{align*} (2.4)


\begin{picture}(300,150)(50,10)
\put(50,20){\line(1,0){220}}
\put(50,40){\line...
...){\shortstack{$\sigma=1$}}
\put(280,136){\shortstack{$\sigma=0$}}
\end{picture}

2.5 水平スペクトル

ここでは, 力学過程の時間積分での計算において用いるスペクトルを導入し, 格子点での値とスペクトルの係数とのやり取りの公式を示す.

2.5.1 水平スペクトルの基底の導入

格子点上の点で定義された物理量は, 格子点上でのみ値を持つ (以下このことを, 「離散化した」と呼ぶ) 球面調和函数の和の形で表現される. また, 各格子点における物理量の水平微分を評価するために, $ (\lambda, \varphi)$ 面で定義された (以下, 「連続系の」と呼ぶ) 球面調和函数系で内挿して得られる関数を用いる. ここではその球面調和函数を導入する. なお, 簡単のために, 連続系の球面調和函数のみを陽に記す. 離散系の球面調和函数は 連続系の球面調和函数に格子点の座標を代入したものから構成される.

$ (\lambda, \varphi)$ 面において, 球面調和函数 $ Y_n^m(\lambda,\varphi)$ は次のように定義される.

$\displaystyle Y_n^m(\lambda,\varphi) \equiv P_n^m(\sin \varphi) \exp(im \lambda),$ (2.5)

ただし, $ m,n$ $ \ 0 \le \vert m\vert \le n$ を満たす整数であり, $ P_n^m(\sin \varphi)$ は 2で規格化されたLegendre函数・陪函数

  $\displaystyle P_n^m(\mu)\equiv \sqrt{\frac{(2n+1)(n-\vert m\vert)!}{(n+\vert m\...
...u^2)^{\frac{\vert m\vert}{2}} }{2^n n!} \DD[n+\vert m\vert]{}{\mu} (\mu^2-1)^n,$ (2.6)
  $\displaystyle \int_{-1}^1 P_n^m(\mu) P_{n'}^m(\mu) d \mu = 2 \delta_{nn'}$ (2.7)

である. なお, $ P_n^0$$ P_n$ とも書く. また $ \sin \varphi = \mu$ であることを再掲しておく.

2.5.2 波数切断

波数切断は三角形切断 (T) または平行四辺形切断 (R) とする. $ M$, $ N$ は三角形切断, 平行四辺形切断のときについて それぞれ以下のとおりである. ただし, 切断波数を $ N_{tr}$ とする.

よく用いられる値の例としては, T42 の場合 $ I=128,\ J=64$, R21 の場合 $ I=64,\ J=64$ がある.

球面調和函数と波数切断に関する詳細は, 第A.1節および第A.8節 を参照せよ.

2.5.3 離散化したスペクトルの基底の直交性

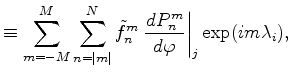
離散化したLegendre函数と三角関数は 次の直交条件を満たす 2.6.

$\displaystyle \sum_{j=1}^{J} P_n^m (\mu_j) P_{n'}^m (\mu_j) w_j$ $\displaystyle = \delta_{nn'},$ (2.8)
$\displaystyle \sum_{i=1}^{I} \exp(im \lambda_i) \exp(-im' \lambda_i)$ $\displaystyle = I \delta_{mm'}.$ (2.9)

ここで $ w_j$ は Gauss 荷重で, $ {\displaystyle w_j \equiv
\frac{(2J-1)(1-\sin^2 \varphi_j)}
{\left\{J P_{J-1}(\sin \varphi_j)\right\}^2 } }$ である.

2.5.4 格子点値とスペクトルの係数との変換法

物理量 $ A$ の 格子点 $ (\lambda_i,\varphi_j)$ (ただし $ i=1,2,\cdots,I. \quad j=1,2,\cdots,J$) での値 $ A_{ij}=A(\lambda_i,\varphi_j)$ と スペクトル空間での $ Y_n^m$ (ただし $ m=-M,\cdots,M. \quad n=\vert m\vert,\cdots,N(m)$ ) の係数 $ \tilde{A}_n^m$ とは次の変換則に従う 2.7.

$\displaystyle A_{ij}$ $\displaystyle \equiv \sum_{m=-M}^{M} \sum_{n=\vert m\vert}^{N} \tilde{A}_n^m Y_n^m (\lambda_i,\varphi_j),$ (2.10)
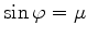
$\displaystyle \tilde{A}_n^m$ $\displaystyle = \frac{1}{I} \sum_{i=1}^{I} \sum_{j=1}^{J} A_{ij} Y_n^{m*} (\lambda_i, \varphi_j) w_j .$ (2.11)

$ A$ が実数であることを用いると, $ {\displaystyle
\left\{\tilde{A}^m_n \exp(im\lambda) \right\}^*
= \tilde{A}^{-m}_n \exp(-im\lambda) }$ なので, $ m$ については負でない整数の範囲で 和をとることができる 2.8. ここで, ``$ *$'' は複素共役を表す. ただし, $ A_n^m$ の定義を以下のように修正していることに注意せよ.

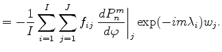
$\displaystyle A_{ij}$ $\displaystyle = \sum_{m=0}^{M} \sum_{n=m}^{N} \Re \tilde{A}_n^m Y_n^m(\lambda_i, \varphi_j),$ (2.12)
$\displaystyle \tilde{A}_n^m$ $\displaystyle = \left\{ \begin{array}{ll} {\displaystyle \frac{1}{I} \sum_{i=1}...
...varphi_j) w_j , & \ \ \ 1 \le m \le M, \quad m \le n \le N. \end{array} \right.$ (2.13)

2.5.5 内挿公式

$ (\lambda, \varphi)$ 空間で定義される物理量 $ A(\lambda,\varphi)$ を 格子点値 $ A_{ij}$ をもとに内挿する場合には, 変換公式を用いて $ A_{ij}$ から $ \tilde{A}_n^m$ を求めた上で,

$\displaystyle A(\lambda,\varphi)$ $\displaystyle \equiv \sum_{m=-M}^{M} \sum_{n=\vert m\vert}^{N} \tilde{A}_n^m Y_n^m (\lambda, \varphi)$ (2.14)

として得る.

2.5.6 空間微分の評価

各格子点における空間微分値の評価は, 内挿公式を用いて得た連続関数の空間微分の格子点値で評価する.

2.6 参考文献

Arakawa, A., Suarez, M. J., 1983: Vertical differencing of the primitive equations in sigma coordinates. Mon. Wea. Rev., 111, 34-35.
気象庁予報部, 1982 : スペクトル法による数値予報(その原理と実際). 気象庁, 111pp.
Haltiner, G.J., Williams, R.T., 1980: Numerical Prediction and Dynamic Meteorology (2nd ed.). John Wiley & Sons, 477pp.
森口, 宇田川, 一松編 ,1956 : 岩波数学公式I . 岩波書店, 318pp.
森口, 宇田川, 一松編 ,1960 : 岩波数学公式III . 岩波書店, 310pp.
一松 信, 1982 : 数値解析. 朝倉書店, 163pp.
森 正武, 1984 : 数値解析法. 朝倉書店, 202pp.
寺沢寛一, 1983 : 自然科学者のための数学概論(増訂版). 岩波書店, 711pp.



... 個2.1
以下, $ J$ は偶数とする. dcpam5では, (Gauss 緯度としてとる場合には) $ J$ は偶数でなければならない.
... とする2.2
$ J$ 次の Legendre 函数 $ P_J (\mu)$
$\displaystyle \left[
\DD{}{\mu}
\left\{ (1-\mu^2) \DD{}{\mu} \right\}
+ J(J+1) \right] P_J(\mu) = 0$     (2.1)

を満たす $ J$ 次多項式であり, $ P_J (\mu)$ の零点は全て $ -1 < \mu < 1$ にある. なお, Gauss 緯度は近似的には $ {\displaystyle
\sin^{-1} \left( \cos \frac{j-1/2}{J}\pi \right)
}$ で与えられる.
... とり方は以下のとおりである2.3
このスキームは次のような特徴をもつ. ( 2005/04/04 石渡: 始めの 4 つは不正確な表現かも )
... 整数レベルと半整数レベルを定義する2.4
物理量により, 整数レベルで定義されるものと, 半整数レベルで定義されるものがある.
... は乾燥空気の定圧比熱である2.5
いずれも定数としている.
... 次の直交条件を満たす2.6
詳しくは第A.5節 を参照せよ.
... とは次の変換則に従う2.7
正変換, 逆変換時の係数は consistent に与えてさえいれば問題がない.
... 和をとることができる2.8
さらに, 実際の計算手続きとしては, $ P_n^m(\sin \varphi)$ が, $ n-m$ が 偶数 (even) の時 $ \varphi=0$ について対称, $ n-m$ が 奇数 (odd) の時 $ \varphi=0$ について反対称 であることを考慮して演算回数を減らすことができる. すなわち, $ A_{ij}$ の計算では北半球のみについて 南北対称成分 $ A_{ij}^{even}$と 反対称成分 $ A_{ij}^{odd}$について それぞれ計算し, 南半球については $ A{i,J-j}=A_{ij}^{even}-A_{ij}^{odd}$ とすればよい. また, $ A_n^m$ の計算においては, その対称性, 反対称性に基づいて $ A_{i,j}+A_{i,J-j}$ または $ A_{i,j}-A_{i,J-j}$ の一方を $ j$ について 1から $ J/2$ まで加えればよい.

next up previous
: 3. 力学過程 : dcpam5 支配方程式系とその離散化 : 1. この文書について
Yasuhiro MORIKAWA 平成21年4月6日