 
 
 
 
 
   
 の性質
 の性質
 のスペクトルの係数から速度の格子点値への変換
 のスペクトルの係数から速度の格子点値への変換
ここでは連続系での球面調和函数を定義し, スペクトル計算の理解に必要な性質を挙げ, 証明する.
まず球面調和函数を定義し, 次いで球面調和函数が完全直交系をなすことを主張する. このことにより, 球面上に分布するあらゆる連続関数が 球面調和函数の重ね合わせで一意的に表されることになる.
球面調和函数は2次元ラプラシアンに関する固有関数であり, このために全波数という概念が生まれる. 参考までにこのことも記しておく.
さらに, 球面調和函数を空間微分した結果も書いておく.
また, イメージをつかむために, ルジャンドル(陪)関数のグラフを示す.
ここでは, 
岩波公式集A.1のLegendre函数・陪函数 
 , 
2 で規格化したLegendre函数・陪函数
 , 
2 で規格化したLegendre函数・陪函数  ,
, 
 で規格化した球面調和函数
 で規格化した球面調和函数  の順に定義する. 
さらにそれらの性質として, 
従う微分方程式, 漸下式, 完全規格直交性について述べる.
 
の順に定義する. 
さらにそれらの性質として, 
従う微分方程式, 漸下式, 完全規格直交性について述べる. 
 
岩波公式集によると
       Legendre函数・陪函数
 は
 は
       
 において次式で定義される
       (Rodrigues の公式).
 において次式で定義される
       (Rodrigues の公式). 
       
| ![$\displaystyle \tilde{P}_n^m \equiv \frac{ (1-\mu^2)^{\frac{\vert m\vert}{2}} }{2^n n!} \DD[n+\vert m\vert]{}{\mu} (\mu^2-1)^n .$](img347.png) | (A.1) | 
 は
 は 
 を満たす整数である.
       Legendre函数
 を満たす整数である.
       Legendre函数 
 を
 を 
 とも書く.
 とも書く. 
 は次の方程式を満たす.
 は次の方程式を満たす. 
       
|  | (A.2) | 
 は
 は 
 を満たす整数である.
 を満たす整数である.
 は次の漸化式に従う.
 は次の漸化式に従う. 
       
|  | (A.3) | 
 は
 は 
 , または
, または  を満たす整数である.
 
       を満たす整数である. 
       さらに, 次の関係式が成り立つ.
|  | (A.4) | 
 は
 は 
 を満たす整数である.
 を満たす整数である. 
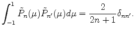
 は
       次の直交関係を満たす.
 は
       次の直交関係を満たす. 
       
|  | (A.5) | 
 は
 は 
       
 を満たす整数である.
 を満たす整数である. 
 で定義される連続関数
 で定義される連続関数  は
 は
       
 を用いて
 を用いて
       
|  | (A.6) | |
|  | (A.7) | 
 
2 で規格化した
       Legendre函数・陪函数
 は
 は
       
 において次式で定義される.
 において次式で定義される. 
       
| ![$\displaystyle P_n^m \equiv \sqrt{ \frac{(2n+1)(n-\vert m\vert)!}{(n+\vert m\ver...
...^2)^{\frac{\vert m\vert}{2}} }{2^n n!} \DD[n+\vert m\vert]{}{\mu} (\mu^2-1)^n .$](img365.png) | (A.8) | 
 は
 は 
 を満たす整数である. 
       Legendre函数
 を満たす整数である. 
       Legendre函数  を
 を  とも書く.
 とも書く. 
 は, 次の方程式を満たす.
 は, 次の方程式を満たす. 
       
|  | (A.9) | 
 は
 は 
 を満たす整数である.
 を満たす整数である. 
 は, 次の漸化式に従う.
 は, 次の漸化式に従う. 
       
|  | ||
|  | (A.10) | |
|  | ||
|  | (A.11) | 
 は
 は 
 , または
, または  を満たす整数である.
 
       を満たす整数である. 
さらに次の関係式が成り立つ.
|  | (A.12) | 
 は
 は 
 を満たす整数である.
 を満たす整数である. 
 は次の直交関係を満たす.
 は次の直交関係を満たす. 
       
|  | (A.13) | 
 は
 は 
       
 を満たす整数である.
       を満たす整数である. 
       
 で定義される連続関数
 で定義される連続関数  は
 は
       
 を用いて
 を用いて
       
|  | (A.14) | |
|  | (A.15) | 
 
球面調和函数 
 は
       Legendre函数
 は
       Legendre函数
 , 
       三角関数A.2
, 
       三角関数A.2
 を用いて
       次のように定義される.
 を用いて
       次のように定義される. 
       
|  | (A.16) | 
 は
 は 
 を満たす整数である.
 を満たす整数である.
 は次の方程式を満たす.
 は次の方程式を満たす. 
       
| ![$\displaystyle \left[ \frac{1}{\cos \varphi} \DP{}{\varphi} \left( \cos \varphi ...
...right) + \frac{1}{\cos^2 \varphi} \DP[2]{}{\lambda} + n(n+1) \right] Y_n^m =0 .$](img383.png) | (A.17) | 
| ![$\displaystyle \left[ \DP{}{\mu} \left( (1-\mu^2) \DP{}{\mu} \right) + \frac{1}{1-\mu^2} \DP[2]{}{\lambda} + n(n+1) \right] Y_n^m =0$](img384.png) | (A.18) | 
 は
 は 
 を満たす整数である.
 を満たす整数である.
 は次の直交関係を満たす.
 は次の直交関係を満たす. 
       
|  | (A.19) | 
 は
 は 
       
 と
 と
       
 とを満たす整数である.
 とを満たす整数である.
球面上で定義される連続関数 
 は
 は
       
 を用いて
 を用いて
       
|  | (A.20) | |
|  | (A.21) | 
ここでは, 球面調和函数 
 の
 の
 微分
微分
 微分
微分
 微分
微分
|  | (A.22) | 
 微分
微分
|  | (A.23) | 
| ![\begin{align*}\begin{split}\nabla_H^2 Y_n^m &\equiv \frac{1}{r^2} \left[ \DP{}{\...
...{\lambda} \right] Y_n^m \\ &= - \frac{n(n+1)}{r^2} Y_n^m \end{split}\end{align*}](img394.png) | (A.24) | 
球面調和函数
    
 において
 において  のことを全波数と呼ぶ.
 のことを全波数と呼ぶ. 
全波数には, 
    座標系の回転に関して不変である, という特徴がある. 
    すなわち, 任意の 
 は
    回転して得られる座標系
 は
    回転して得られる座標系 
 における
    全波数
 における
    全波数  の球面調和函数
 の球面調和函数 
    
 の和で表現できる :
    の和で表現できる :
    
|  | (A.25) | 
 の概形をつかむために, 2で規格化した
 の概形をつかむために, 2で規格化した 
 A.5   のグラフを示す.
       A.5   のグラフを示す.
![\Depsf[10cm]{spectral/spl-spherical-harmonics-images/legendre1.ps}](img410.png) 
 のグラフ 
        (森口, 宇田川, 一松, 1960)
 のグラフ 
        (森口, 宇田川, 一松, 1960)
   
![\Depsf[][7cm]{spectral/spl-spherical-harmonics-images/legendre2.ps}](img411.png) 
 のグラフ 
        (森口, 宇田川, 一松, 1960)
 
            のグラフ 
        (森口, 宇田川, 一松, 1960)
   
ここでは, 
スカラー量, ベクトルの微分を計算する. 
さらにそれらを元に, 
発散 , 渦度
, 渦度  , 速度ポテンシャル
, 速度ポテンシャル , 流線関数
, 流線関数 と
 と
 との関係を付ける.
 との関係を付ける. 
スカラー量 
 の
 の  微分は
 微分は
    
 で与えられる.
   で与えられる. 
 の
 の  微分は
 微分は
    
 で与えられる.
   で与えられる. 
 の2次元ラプラシアンは
 の2次元ラプラシアンは
   
| ![\begin{align*}\begin{split}\nabla^2_H f &\equiv \frac{1}{r^2} \left[ \frac{1}{\c...
...\right\} + \frac{1}{1-\mu^2} \DP[2]{}{\lambda} \right] f \end{split}\end{align*}](img417.png) | (A.26) | 
2次元ベクトル場 
 の水平発散は
 の水平発散は 
   
|  | (A.27) | 
 の回転の
 の回転の  成分は,
 成分は,
   
|  | (A.28) | 
以上で得られた微分公式を元に, 以下に実際にGCMで使用する便利な微分の公式を並べておく.
水平分布する速度場の水平発散  を
 を  を用いて表す
 を用いて表す
|  | (A.29) | 
水平分布する速度場の渦度  を
 を  を用いて表す
 を用いて表す
|  | (A.30) | 
 
速度ポテンシャル  , 流線関数
, 流線関数  は
 は
   
|  |  | (A.31) | 
|  |  | (A.32) | 
 を
 を  で表す.
 で表す. 
|  |  | (A.33) | 
|  |  | (A.34) | 
 の性質
 の性質
ここでは Legendre函数  の性質である
の性質である
 次以下の多項式との積を
 次以下の多項式との積を 
 まで積分すると
        零になること
 まで積分すると
        零になること
 が
 が  に
 に  個の零点を持つこと,
 個の零点を持つこと, 
を記す. 1 より Gauss 格子を定義することが保証される. また, 1, 2 は共に Gauss-Legendre の公式の証明に用いられる.
 は,
 は,  の
 の  次多項式である.
 次多項式である. 
    次以下の任意の多項式は
 次以下の任意の多項式は 
 の和で表されること,
 の和で表されること, 
    の直交性から明らかに,
 の直交性から明らかに, 
    次以下の任意の多項式
 次以下の任意の多項式  との積を積分すると
 との積を積分すると
   
|  | (A.35) | 
 は
 は 
 に
 に 
    個の互いに異なる零点を持っている. 
   このことについて, 
   以下に証明しておく. (寺沢, 1983 の10.7 節より)
 個の互いに異なる零点を持っている. 
   このことについて, 
   以下に証明しておく. (寺沢, 1983 の10.7 節より)
 を導入する.
 を導入する. 
 の解は,
 の解は,  である. 
                ゆえに, Rolle の定理により,
 である. 
                ゆえに, Rolle の定理により,  は
                ある
 は
                ある  (
(
 ) で
 ) で 
                
 となる.
 となる. 
 より,
 より,  の解は
 の解は 
                
 のみである.
 のみである. 
 の解は
 の解は
                
 (
 
                (
 )のみ.
)のみ. 
 の解は
 の解は
                 と
 と  の間で互いに異なる
 の間で互いに異なる  個の
                解を持つ. 
                (
 個の
                解を持つ. 
                ( は解でないことに注意せよ. )
 は解でないことに注意せよ. )
![$ {\displaystyle
P_n= \frac{1}{2^n n!}
\DD[n]{}{\mu} (\mu^2-1)^n }$](img453.png) は
 は
                 と
 と  の間で互いに異なる
 の間で互いに異なる  個の解を持つ. 
                (証明終り)
 個の解を持つ. 
                (証明終り)
        
この零点の求め方としては, 
   
 を近似解として
   Newton 法を用いるという方法がある.
   を近似解として
   Newton 法を用いるという方法がある. 
ここでは Gauss の台形公式を示す.
波数  以下の三角函数で表現される
 以下の三角函数で表現される 
  
 (
  (
 )
)
  
|  | (A.36) | 
 を満たすように
 を満たすように  をとると,
 をとると, 
  
|  | (A.37) | |
|  | 
より実用的な公式は,
|  | (A.38) | |
|  | 
 (
 ( の最大値) より
 の最大値) より  の時には
 の時には
  
 において, 全ての
 
  において, 全ての  について
 について 
   が
 が の整数倍になることがないことを考慮すると明らかである
  (
 の整数倍になることがないことを考慮すると明らかである
  (  ,
,  はともに
 はともに  よりも小さい整数なので,
 よりも小さい整数なので,  は
 は 
     の整数倍にならない)
  A.6.
 の整数倍にならない)
  A.6. 
以下に Gauss の台形公式の証明を記す. まず, 左辺を計算すると,
|  |  | (A.40) | 
 は
 は
    の項しか残らないことを使った.
   一方右辺は
 の項しか残らないことを使った.
   一方右辺は
   
|  |  | |
|  | (A.41) | 
|  | (A.42) | 
|  | (A.43) | 
 を
 を  次以下の多項式とする.
 次以下の多項式とする.  
    を2で規格化した n 次の Legendre函数とする. 
   このとき,
 を2で規格化した n 次の Legendre函数とする. 
   このとき, 
 は
 は 
    の零点である Gauss 格子
 の零点である Gauss 格子 
 における
 における 
    の値
 の値  のみを用いて, 
   次式にもとづいて正確に評価することができる.
 のみを用いて, 
   次式にもとづいて正確に評価することができる. 
   
|  | (A.44) | |
|  | (A.45) | 
 は Gauss 荷重と呼ばれる.
 は Gauss 荷重と呼ばれる. 
以下では上の式を証明する. 
   ただし, Legendre函数としては, 
   最初は岩波公式集のLegendre函数 
 を用い, 
   最後に2で規格化したLegendre函数
 を用い, 
   最後に2で規格化したLegendre函数  に
   直すことにする
          A.7.
 に
   直すことにする
          A.7. 
STEP 1 Lagrange 補間の導入
 を
 を  次多項式(
 次多項式(
 )とする.
)とする. 
   
 を岩波公式集のLegendre函数(Rodriguesの公式)
   とする.
 を岩波公式集のLegendre函数(Rodriguesの公式)
   とする. 
   
|  | (A.46) | 
 を,
 を, 
    を Lagrange 補間公式にしたがって補間した多項式として
   定義する.
 を Lagrange 補間公式にしたがって補間した多項式として
   定義する. 
   
|  | (A.47) | 
 について
 について 
 である. 
   ここで
 である. 
   ここで  は,
 は, 
    
 の時(
 の時( が
 が  次以下の多項式)のときは 
    厳密に
 次以下の多項式)のときは 
    厳密に  になる
               A.8   ことに注意せよ.
 になる
               A.8   ことに注意せよ. 
したがって, 
   関数 
 は
 は
   
 の時, 0 である.
 の時, 0 である. 
 の時,
 の時, 
 を零点とする
 を零点とする  次多項式である.
 次多項式である. 
            は
 は  次多項式
 次多項式 
 の
           零点であることを思い出すと,
 の
           零点であることを思い出すと, 
            は
 は 
 で割り切れるので, 
           ある
 で割り切れるので, 
           ある  次多項式
 次多項式  を用いて,
 を用いて, 
           
|  | (A.48) | 
 を
 を  について
 について  から 1 まで積分する.
 から 1 まで積分する. 
   
 の時については
   Legendre函数の直交性より,
 の時については
   Legendre函数の直交性より, 
   
 の積分は零である.
   したがって,
 の積分は零である.
   したがって, 
   
|  |  | |
|  | ||
|  | ||
|  | (A.49) | 
ここで, 証明すべき式の  は規格化されていて, 
   上の式の
 は規格化されていて, 
   上の式の 
 は規格化されていないのにもかかわらず
   同じ
 は規格化されていないのにもかかわらず
   同じ  が使われているが,
 が使われているが, 
   
 と
 と  の規格化定数は同じなので
   consistent である.
 の規格化定数は同じなので
   consistent である. 
STEP 2   
   
 の漸化式を用いた変形
 の漸化式を用いた変形
漸化式 (岩波の Lgendre 関数・陪関数の従う漸化式) において
    とした式
 とした式
   
|  | (A.50) | 
|  |  | |
|  | ||
|  | ||
|  | (A.51) | 
 について加えると,
 について加えると, 
   
|  |  | (A.52) | 
 とすると
 とすると 
 より,
 より, 
   
|  |  | (A.53) | 
|  |  | (A.54) | 
 の時のみ0でない値を
   持つこと, および
 の時のみ0でない値を
   持つこと, および 
 を使った.
   さらに, 漸化式
 を使った.
   さらに, 漸化式
   
|  | (A.56) | 
 とする.
 とする. 
 より,
 より,  
   
|  |  | (A.57) | 
STEP3  
 の規格化
 の規格化
 を
 を
   
|  | (A.58) | 
 より,
 
   より, 
   
|  | (A.59) | 
まとめ
以上より
|  | (A.60) | |
|  | (A.61) | 
ここでは 球面直交関数の離散的直交関係である選点直交性を示す.
|  | (A.62) | 
 は整数で,
 は整数で,
  
 
  
 であり,
 
  であり,  
  
![$ {\displaystyle M \le \left[ \frac{I}{2} \right] ,
N(m) \le J-1 }$](img544.png) を満たす. 
  また,
 
  を満たす. 
  また,  は Gauss 荷重,
 は Gauss 荷重, 
  
 ,
, 
   は
 は  の零点である.
 の零点である. 
  ![$ [ \ ]$](img546.png) は それを越えない最大の整数を表す. 
  これは, 有限な直交多項式系において成り立つ
  選点直交性と呼ばれる性質である
         A.9 .
 は それを越えない最大の整数を表す. 
  これは, 有限な直交多項式系において成り立つ
  選点直交性と呼ばれる性質である
         A.9 . 
この式を証明する. Legendre函数・陪函数の定義・(連続系での)直交性, Gauss の台形公式, Legendre函数の零点を用いた多項式の積分評価 を既知とすると,
|  | ||
|  | (A.63) | 
|  | ||
|  | ||
|  | (A.64) | 
|  | ||
|  | (A.65) | 
余談ではあるが, 
     直交多項式系においては
     離散的な直交関係としては選点直交性のほかに
     次のような直交関係も知られている
            A.10 . 
     
 を
 を
     
![$ \ [ a ,b ] \ $](img553.png) で定義された
     重み
 で定義された
     重み  , 規格化定数
, 規格化定数  の直交多項式
 の直交多項式
       
 とする.
 
     とする. 
     
 を
 を  の零点,
 の零点, 
     
 とすれば, 選点直交性
 とすれば, 選点直交性
     
|  | (A.66) | 
|  | (A.67) | 
実際, 
     Legendre函数 
 については
     この関係が成り立つ. 
     すなわち,
 については
     この関係が成り立つ. 
     すなわち, 
      を GCM で用いている Gauss 荷重として,
 を GCM で用いている Gauss 荷重として, 
       
|  | (A.68) | 
 の零点でのみ
     値を計算することと, 
     波数切断の関係とから, 
     Legendre陪函数
 の零点でのみ
     値を計算することと, 
     波数切断の関係とから, 
     Legendre陪函数 
 の
     離散的直交関係は意味がない
            A.11. 
     Legendre函数の直交関係についても, 
     波数切断により
 の
     離散的直交関係は意味がない
            A.11. 
     Legendre函数の直交関係についても, 
     波数切断により  は
 は
     
 しか扱わないので
            A.12 
     実際には意味がない.
 しか扱わないので
            A.12 
     実際には意味がない. 
三角関数についても同様な離散的直交関係がある. 選点直交性
|  | (A.69) | 
|  | (A.70) | 
 は偶数で
 は偶数で  .
. 
        が奇数の場合には,
 が奇数の場合には,  として,
 として, 
        についての和は
についての和は 
       
 でとる. )
     しかし GCM では, 
     波数切断により
 でとる. )
     しかし GCM では, 
     波数切断により 
      の最大値
 の最大値  は
 は
     
 以下の値なので
     やはり意味がない
            A.13 .
 以下の値なので
     やはり意味がない
            A.13 . 
  
ここではスペクトルの係数と格子点値との変換法について述べる. 実際の GCM 計算において必要になるのは
 ・渦度
 ・渦度  の
        スペクトルの係数への変換
 の
        スペクトルの係数への変換
 , 流線関数
, 流線関数  (もとは 発散, 渦度) 
        のスペクトルの係数から速度の格子点値の作成
(もとは 発散, 渦度) 
        のスペクトルの係数から速度の格子点値の作成
スカラー関数 
 の
格子点値とスペクトルの係数とのやり取りは
以下のとおりである. 
ただし, 
格子点値は
 の
格子点値とスペクトルの係数とのやり取りは
以下のとおりである. 
ただし, 
格子点値は 
 , 
スペクトルの係数は
 , 
スペクトルの係数は 
 とする.
 
とする.  
 を
 を
 と,
 と, 
 を
 を
 と表記する.
 と表記する.  
まず,
|  |  | 
東西微分( 微分)は次式で評価する.
 微分)は次式で評価する. 
 を
 を  とみなしたものと 
(A.75) とを比較すれば明らかに
       A.14 ,
 とみなしたものと 
(A.75) とを比較すれば明らかに
       A.14 , 
次に,
| ![$\displaystyle h \equiv \frac{g}{r \cos^2 \varphi} = \frac{1}{r \cos^2 \varphi} ...
...f}{\lambda} \ \ \left[ = \DP{}{x} \left( \frac{f}{\cos \varphi} \right) \right]$](img599.png) | 
 と
 と  とのやり取りを考える. 
(A.74) より明らかに,
 とのやり取りを考える. 
(A.74) より明らかに, 
|  |  | |
|  |  | 
一方, (A.76) より
まず,
|  | 
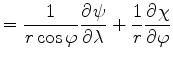
南北微分( 微分)は次式で評価する.
微分)は次式で評価する. 
|  |  | |
|  | ||
|  | ||
|  | 
次に,
|  | 
(A.79) より明らかに,
|  | 
|  |  | |
|  | ||
|  | ||
|  | ||
|  | 
|  | ||
|  | 
 のスペクトルの係数から速度の格子点値への変換
 のスペクトルの係数から速度の格子点値への変換
ここでは
 から
 から 
 を求める方法を記す.
を求める方法を記す. 
まず,
|  | (A.82) | 
|  |  | (A.83) | 
|  | (A.84) | 
|  |  | (A.85) | 
ここではスペクトルの係数同士の便利な公式を挙げておく. 
 の時
 の時
 の時
 の時   
(A.86) については 「スペクトルの係数と格子点値とのやり取り」に証明を示した. ここでは, (A.87) について証明しておく.
微分評価の定義より,
|  | 
|  | 
 を演算して
比較すると,
 を演算して
比較すると, 
|  | 
GCM では, 
物理量を
球面調和函数 
 で展開したり
波数空間で計算するときに,  
計算資源の都合上, 
ある一定波数以下の波数のみを考慮して計算する. 
そのことを波数切断するという
       A.17 . 
以下ではまず, 切断の基礎知識として切断の仕方・流儀を述べ, 
ついで, 切断における事情を述べた上で切断波数の決め方を記す.
 で展開したり
波数空間で計算するときに,  
計算資源の都合上, 
ある一定波数以下の波数のみを考慮して計算する. 
そのことを波数切断するという
       A.17 . 
以下ではまず, 切断の基礎知識として切断の仕方・流儀を述べ, 
ついで, 切断における事情を述べた上で切断波数の決め方を記す. 
波数切断の仕方については, 東西波数 ( ) , 南北波数 (
) , 南北波数 ( ) の
それぞれの切断の方法にいくつかの流儀がある. 
一般によく用いられるものは
三角形切断 (Triangle) , 平行四辺形切断 (Rhomboidal : 偏菱形) と
呼ばれるものである. 
三角形切断の場合について計算する波数領域を波数平面上に書くと
(A.1)のようになる. 
平方四辺形切断の場合は, (A.2)である.
) の
それぞれの切断の方法にいくつかの流儀がある. 
一般によく用いられるものは
三角形切断 (Triangle) , 平行四辺形切断 (Rhomboidal : 偏菱形) と
呼ばれるものである. 
三角形切断の場合について計算する波数領域を波数平面上に書くと
(A.1)のようになる. 
平方四辺形切断の場合は, (A.2)である.
三角形切断, 平行四辺形切断, という名称は
波数平面上 ( 平面) での形状による
       A.18.
平面) での形状による
       A.18. 
より一般的な切断方法は五角形切断 ((A.3)) である.
三角形切断, 平行四辺形切断はそれぞれ, 五角形切断において
 
 
三角形切断と平行四辺形切断の違いについて, 世の中では次のように言われている A.20 .
ここでは切断波数と南北格子点数の決め方について記す. これらは 切断の仕方を決めた後に, 使用する計算資源がネックになって決まる. その際, FFT の仕様, aliasing の回避, という2つの数値的な事情を 考慮した上で決める必要がある.
FFT の仕様の事情というのは, 話は簡単で, 
   東西方向に 「格子 
 スペクトル」 変換する
   ために用いる FFT が
   効率よく動くための格子点数・波数がある
          A.22   ことである.
 スペクトル」 変換する
   ために用いる FFT が
   効率よく動くための格子点数・波数がある
          A.22   ことである. 
一方, aliasing に関する事情は複雑である. ここで扱っているスペクトルモデルでは, 格子点でのみ値を計算している. いわゆるスペクトルを使うのは, 単に格子点上での水平微分項の評価をする時のみである. その意味で, 「微分の評価にのみスペクトルを用いるグリッドモデル」 と言ってもよい. そのように受け止めると, 格子点値を"正しく"計算することを目指し, また, 考慮する波数は 厳密にスペクトルの係数と格子との変換を行なうことのできる波数, すなわち変換において情報の落ちないだけの波数を とらねばならないように思える. ところが実際には, スペクトルモデル的な配慮 -- ある波数以下についてのみ 正しく計算し, それ以上の波数については計算しない -- により 切断波数・格子点数が決められている. また, 後述する理由により 情報は (非線形 aliasing のことを考えずとも) 必ず落ちてしまうのである A.23 .
さて, 
   以下では aliasing に関する事情を具体的に述べながら, 
   切断波数に対する格子点数の決め方を記そう. 
   球面上に連続分布している物理量を球面調和函数で展開する. 
   ある波数  以下 (例えば,  T42 ならば
 以下 (例えば,  T42 ならば 
 ) 
   については
   線形項・非線形項の両方について
   厳密に計算できるように
 ) 
   については
   線形項・非線形項の両方について
   厳密に計算できるように  を決めることを目指す.
 を決めることを目指す. 
 を仮に固定したとして, 
   まずは線形項について
   切断波数以下のスペクトルの係数のわかっている物理量
 を仮に固定したとして, 
   まずは線形項について
   切断波数以下のスペクトルの係数のわかっている物理量  を
   格子点値に変換しさらにスペクトルの係数に正しくもどすことを考える.
 を
   格子点値に変換しさらにスペクトルの係数に正しくもどすことを考える. 
    は
 は
   
 の
 の  については
 については 
   
 が
   わかっているとする. 
   格子点値は,
 が
   わかっているとする. 
   格子点値は, 
 について
 について
   
|  |  | (A.88) | 
 を計算する. 
   離散化した系での積分を
   Gauss の公式, Gauss-Legendre の公式で評価すれば,
 
   を計算する. 
   離散化した系での積分を
   Gauss の公式, Gauss-Legendre の公式で評価すれば, 
   
|  |  | (A.89) | 
 は
 は  における重みである.
 における重みである. 
    の定義を代入すれば,
 の定義を代入すれば, 
   
|  |  | |
|  | (A.90) | 
 を
   正しく評価している (すなわち元にもどる) ための
 を
   正しく評価している (すなわち元にもどる) ための  の条件は,
 の条件は,   
   
 を満たす
 を満たす  について
 について 
   
|  | (A.91) | |
|  | (A.92) | 
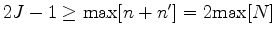
 が最大で
 が最大で  の値をとるので, 
    Gauss の公式の適用条件より, 
   格子点数
 の値をとるので, 
    Gauss の公式の適用条件より, 
   格子点数  が
 が 
 を満たすことである. 
   Legendre函数の積の和による評価が正しいための条件は, 
   ここに登場する計算が
 を満たすことである. 
   Legendre函数の積の和による評価が正しいための条件は, 
   ここに登場する計算が  次の多項式
          A.24   の評価であることから, 
   Gauss - Legendre の公式の適用条件より, 
   格子点数
 次の多項式
          A.24   の評価であることから, 
   Gauss - Legendre の公式の適用条件より, 
   格子点数  が
 が 
![$ 2J-1 \ge {\rm max}[n+n'] = 2 {\rm max}[N]$](img687.png) を
   満たすことである. 
   ここで,
 を
   満たすことである. 
   ここで, 
![$ {\rm max}[n+n']$](img688.png) は
 は  の最大値を,
 の最大値を, 
![$ {\rm max}[N]$](img689.png) は
 は
    の最大値を表す.
 の最大値を表す.
ちなみに, 
   格子点値からスペクトルの係数に変換し格子点値にもどす
   という立場からすれば, 
   この Gauss-Legendre の公式の適用条件というのが
   情報を落とさずには済まない理由である
          A.25 . 
   このことを以下に述べる. 
   情報を落とさずに
   格子点値をスペクトルの係数に変換し格子点値にもどすには, 
   あらゆる東西波数について
   南北方向の格子点数  と同じだけの個数のLegendre函数が必要である. 
   東西波数
 と同じだけの個数のLegendre函数が必要である. 
   東西波数  の場合, 登場するLegendre陪函数の
 の場合, 登場するLegendre陪函数の  は
 は
   
 である.
 である. 
   
 の次数は
 の次数は  であるから, 
   最大で
 であるから, 
   最大で  である. 
   これが
 である. 
   これが  以下になるのは
 以下になるのは  の時のみである.
 の時のみである. 
    の場合は高次のLegendre函数は計算してはならない. 
   つまり情報を落とさざるをえない
          A.26 .
 の場合は高次のLegendre函数は計算してはならない. 
   つまり情報を落とさざるをえない
          A.26 . 
改めて  を固定するという立場にもどって, 
   切断波数以下のスペクトルの係数のわかっている物理量
 を固定するという立場にもどって, 
   切断波数以下のスペクトルの係数のわかっている物理量  の積から
   それらの格子点値を用いて
 の積から
   それらの格子点値を用いて
    と
 と  との積 (非線形項)
 との積 (非線形項)  
    のスペクトルの係数を正しく求めるための
 のスペクトルの係数を正しく求めるための
    の条件を考える.
 の条件を考える. 
   
|  | (A.93) | |
|  | (A.94) | |
|  | (A.95) | 
 があるとする
          A.27 .
 があるとする
          A.27 . 
    ,
, の
 の 
 における
   スペクトルの係数
 における
   スペクトルの係数 
   
 を用いて
 を用いて
    の 
   スペクトルの係数
 の 
   スペクトルの係数 
 を
 を
   
 については
   正しく計算することを考える.
 については
   正しく計算することを考える. 
|  |  | |
|  | ||
|  | ||
|  | ||
|  | ||
|  | (A.96) | 
この計算が 
 を
 を
    
 について
   正しく評価しているための,
 について
   正しく評価しているための,  の条件を
   線形項の場合と同様に考えると, 
   格子点数
 の条件を
   線形項の場合と同様に考えると, 
   格子点数  が
 が  
 を, 
   格子点数
 を, 
   格子点数  が
 が 
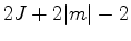
![$ 2J-1 \ge {\rm max}[n+n'+n''] = 3 {\rm max}[N]$](img712.png) を
   満たすことである. 
   ここで,
 を
   満たすことである. 
   ここで, 
![$ {\rm max}[n+n'+n'']$](img713.png) は
 は  の最大値を,
 の最大値を, 
   
![$ {\rm max}[N]$](img689.png) は
 は  の最大値を表す.
 の最大値を表す.
再び
   格子点値からスペクトルの係数に変換し格子点値にもどす
   という立場からすれば, 
   これらの  に関する条件から, 
   南北成分のみならず, 東西成分についても
   変換によって情報が落ちてしまうことがわかる.
 に関する条件から, 
   南北成分のみならず, 東西成分についても
   変換によって情報が落ちてしまうことがわかる. 
これまでに述べた
    を固定したときに
   格子点数
 を固定したときに
   格子点数  がとらねばならない個数について, 
   線形項・非線形項の2つの場合のうち条件が厳しいのは, 
   明らかに非線形項の場合である. 
   この条件以下の格子点数しかとらない場合には, 
   aliasing をおこすことになる.
 がとらねばならない個数について, 
   線形項・非線形項の2つの場合のうち条件が厳しいのは, 
   明らかに非線形項の場合である. 
   この条件以下の格子点数しかとらない場合には, 
   aliasing をおこすことになる. 
以上, FFT, aliasing という2つの事情を考えて 格子点数と切断波数とは同時に決められる. 具体的手順は以下のとおりである.
 とする.
 とする. 
 を
 を 
           
![$ {\displaystyle M= \left[ \frac{I-1}{3} \right] }$](img715.png) にする. 
           ただし
 にする. 
           ただし ![$ [ \ ]$](img546.png) はそれを越えない最大の整数を表す記号である.
 はそれを越えない最大の整数を表す記号である.
 を決める. 
           三角形切断ならば
 を決める. 
           三角形切断ならば 
 , 
           平行四辺形切断ならば
, 
           平行四辺形切断ならば 
 である.
 である. 
 を
 を 
 を
           満たす数に選ぶ.  (dcpam5では偶数でなくてはならない. )
 を
           満たす数に選ぶ.  (dcpam5では偶数でなくてはならない. ) 
   
 , 
   東西格子点数
, 
   東西格子点数  が 128, 南北格子点数
 が 128, 南北格子点数  が 64 である. 
   R21 の場合には
 が 64 である. 
   R21 の場合には 
 , 
   東西格子点数
, 
   東西格子点数  が 64, 南北格子点数
 が 64, 南北格子点数  が 64 である.
 が 64 である. 
参考までに, 線形モデルの場合について決め方を示しておく.
 とする.
 とする. 
 を
 を 
           
![$ {\displaystyle M= \left[ \frac{I}{2} \right] }$](img721.png) にする. 
           ただし
 にする. 
           ただし ![$ [ \ ]$](img546.png) は
           それを越えない最大の整数を表す記号である
                  A.28 .
 は
           それを越えない最大の整数を表す記号である
                  A.28 .
 を決める. 
           三角形切断ならば
 を決める. 
           三角形切断ならば 
 , 
           平行四辺形切断ならば
, 
           平行四辺形切断ならば 
 である.
 である. 
 を
 を 
 を
           満たす数に選ぶ.
 を
           満たす数に選ぶ. 
   
 とすると,
 とすると,  ,
,  ,
,  となる. 
   つまり T64 では
 となる. 
   つまり T64 では 
 である. 
   平方四辺形切断の場合には,
 である. 
   平方四辺形切断の場合には, 
    とすると,
 とすると,  ,
,  ,
,  となる. 
   つまり R32 では
 となる. 
   つまり R32 では 
 でよい
          A.29 .
 でよい
          A.29 . 
世の中の多くの GCM の離散化の方法としては, 鉛直方向については必ず レベルと称する差分による離散化を行なうが, 水平方向については, 差分する方法(この方法を用いるモデルをグリッドモデルという)と 球面調和函数で展開してその係数の時間変化を計算する方法 (力学過程において A.30 この方法を用いるモデルを スペクトルモデルという)と が用いられる. その二つの方法については一長一短がある. ここでは双方の特徴について列挙しておく A.31.
ちなみに, dcpam5はスペクトルモデルに分類される.
 は
 は
                 
 を満たす.
                 ただし,
 
                 を満たす.
                 ただし,  は整数である.
 は整数である.
 の球面調和函数の重ね合わせで表現できる分布関数は
         座標系を回転させた系においても
         全波数
 の球面調和函数の重ね合わせで表現できる分布関数は
         座標系を回転させた系においても
         全波数  の球面調和函数の重ね合わせで表現できることになる.
 の球面調和函数の重ね合わせで表現できることになる. 
                 
![$ \nabla_H^2 \equiv
\frac{1}{r^2}
\left[ \DP{}{\varphi} \left( \cos \varphi \DP{}{\varphi} \right)
+ \frac{1}{\cos^2 \varphi} \DP[2]{}{\lambda}
\right]
$](img399.png) の, 
        固有値を
 の, 
        固有値を 
 とする固有関数であることと, 
        スカラー演算子
 とする固有関数であることと, 
        スカラー演算子 
 が
        座標系の回転に関して不変な演算子であることとに起因する.
 が
        座標系の回転に関して不変な演算子であることとに起因する. 
すなわち, 
        
 より, 
        球面調和函数
 
        より, 
        球面調和函数 
 は
        固有値を
 は
        固有値を 
 とする
 とする
        
 の固有関数である.
 の固有関数である. 
        
 の完全直交性より,
 
        の完全直交性より, 
        
 は
 は 
        
 の
        解空間を張っている基底である.
 の
        解空間を張っている基底である. 
座標系を回転させて,  
        新たな座標系での球面調和函数 
 の和の形で
        前の座標系での球面調和函数
 の和の形で
        前の座標系での球面調和函数 
 を
        表現することを考えよう.
 を
        表現することを考えよう. 
絶対系で見て同じ位置の値を比べると, 
        2次元ラプラシアンを演算した値は不変なので, 
        前の座標系での球面調和函数 
 は
        新たな座標系においても
 は
        新たな座標系においても
        
 の解である. 
        新たな座標系の球面調和函数の集合
 の解である. 
        新たな座標系の球面調和函数の集合
        
 も
 も
        
 の
        解空間の基底である. 
        したがって, 前の座標系の球面調和函数は
        新たな座標系の球面調和函数の和の形で書ける.
 の
        解空間の基底である. 
        したがって, 前の座標系の球面調和函数は
        新たな座標系の球面調和函数の和の形で書ける. 
        
|  | (A.39) | 
 の公式が書かれていることが多いので, 
                このように書く方が他と参照しやすいであろう.
 の公式が書かれていることが多いので, 
                このように書く方が他と参照しやすいであろう. 
 が
 が  次以下の多項式であること,
 次以下の多項式であること,
                     個の零点
 個の零点  を持つことから明らか.
 を持つことから明らか. 
 が
 が 
                   次多項式であるような直交多項式系において
                  成り立つものである.  
                  Legendre陪函数は
次多項式であるような直交多項式系において
                  成り立つものである.  
                  Legendre陪函数は
                   が奇数のときは多項式でないし,
 が奇数のときは多項式でないし,
                   が偶数であっても
 が偶数であっても 
                   は
 は  次多項式であって,
次多項式であって, 
                   次多項式ではない. 
                  その場合にも直交多項式の議論を拡張して
                  ここで述べている直交関係を
                  使えるのか, については未調査である.
 次多項式ではない. 
                  その場合にも直交多項式の議論を拡張して
                  ここで述べている直交関係を
                  使えるのか, については未調査である. 
 で
 で 
 , 
                  R21 ならば,
, 
                  R21 ならば,  で
 で 
 , 
                  である.
, 
                  である.
 に対して
 に対して  , 
                  R21 ならば
 , 
                  R21 ならば  に対して
 に対して   である.
 である. 
 の両辺に左から
             の両辺に左から
             
 を演算すれば,
             を演算すれば, 
 として
             得られる.
 として
             得られる. 
|  | ||
|  | ||
|  | 
|  | ||
|  | ||
|  | ||
|  | 
 の最大値を
 の最大値を  の最大値の2倍に
             しないようなとり方もある. 
             詳しくは五角形切断に関する脚注参照.
 の最大値の2倍に
             しないようなとり方もある. 
             詳しくは五角形切断に関する脚注参照.
 であるものも平方四辺形切断と呼ばれる. 
             だが, 例えば R21 と呼ばれるものは,
 であるものも平方四辺形切断と呼ばれる. 
             だが, 例えば R21 と呼ばれるものは, 
             
 のものである.
 のものである. 
 に対して
                格子点数は
 に対して
                格子点数は 
 である. 
                R21 の場合も, 
                自由度は
 である. 
                R21 の場合も, 
                自由度は 
                
 に対して, 
                格子点数は
 に対して, 
                格子点数は 
 である. 
                すなわち,
 である. 
                すなわち, 
                 以上の情報は
                格子点値からスペクトルに変換するときに落ちている.
 以上の情報は
                格子点値からスペクトルに変換するときに落ちている. 
 となることを用いた. 
                一般には (
 となることを用いた. 
                一般には ( の偶奇が一致しない場合には)
 の偶奇が一致しない場合には) 
                
 は多項式にならない.
 は多項式にならない. 
 が奇数の場合には, 
                スペクトルで同じ情報量を持つためには
                波数
 が奇数の場合には, 
                スペクトルで同じ情報量を持つためには
                波数 
 までを考慮すればよいので, 
                情報は欠落しないことは明らかである. 
                一方,
 までを考慮すればよいので, 
                情報は欠落しないことは明らかである. 
                一方,   が偶数の場合には, 
                情報は欠落させないためには
                波数
 が偶数の場合には, 
                情報は欠落させないためには
                波数 
 が必要であるが, 
                この波数は Gauss の公式の適用条件を満たさない. 
                しかしこの場合にも, 
                 (私は根拠を調べていないが, 少なくとも) 
                経験的には FFT および 逆FFT によって
                格子 - スペクトル - 格子変換によって
                情報が落ちないことが知られている.
 が必要であるが, 
                この波数は Gauss の公式の適用条件を満たさない. 
                しかしこの場合にも, 
                 (私は根拠を調べていないが, 少なくとも) 
                経験的には FFT および 逆FFT によって
                格子 - スペクトル - 格子変換によって
                情報が落ちないことが知られている. 
                
 とも 実数である. 
              すなわち,
 とも 実数である. 
              すなわち, 
                
 となっている.
              となっている. 
 が偶数のときについては
                        Gauss の公式の適用条件を越えて
                        最大波数
 が偶数のときについては
                        Gauss の公式の適用条件を越えて
                        最大波数 
 まで
                        計算できるという知識を用いた.
 まで
                        計算できるという知識を用いた. 
 
 
 
 
