 
 
 
 
 
   
 -座標プリミティブ方程式
-座標プリミティブ方程式
 -座標プリミティブ方程式
-座標プリミティブ方程式
dcpam5では力学計算として球面緯度経度座標, 鉛直  座標の
プリミティブ方程式系を解いている. 以下では, まず想定する大気について
の仮定を行った後, 全質量の連続の式, 水蒸気量の式, 運動方程式 (3 成分),
熱力学の式の 6 つの方程式から, dcpam5で実装されている力学過程の
支配方程式系の導出を行う. 最終的に得られる式については
第3.8.5節 を参照のこと.
 座標の
プリミティブ方程式系を解いている. 以下では, まず想定する大気について
の仮定を行った後, 全質量の連続の式, 水蒸気量の式, 運動方程式 (3 成分),
熱力学の式の 6 つの方程式から, dcpam5で実装されている力学過程の
支配方程式系の導出を行う. 最終的に得られる式については
第3.8.5節 を参照のこと.
dcpam5では地球大気を想定し, 全大気はともに理想気体である乾燥空気および水蒸気から成る混合大気とする. 雲水量は無視する. また, 水蒸気量が全大気に占める割合は小さいと仮定 し, 全大気の定圧比熱を乾燥大気の値で近似する.
水蒸気量の保存については, 凝結および蒸発による生成消滅を考慮する. しか し, この量が全大気に与える効果は小さいとし, 全大気の質量保存則, 運動エ ネルギー保存則, 全エネルギー保存則に影響を及ぼさないとする.
重力加速度は惑星中心に向いていると仮定する. また, 運動の水平スケールが 鉛直スケールよりもかなり大きい運動を想定し, 静力学平衡近似を行なう. さ らに, 運動は惑星表面付近に限られることを仮定して近似を行なう.
方程式系は 6 本の予報方程式と 1 本の診断方程式からなる. 予報方程式は, 全質量の連続の式, 水蒸気量の式, 運動方程式(3 成分), 熱力学の式からなる. これらは, それぞれ, 全質量保存則, 水蒸気量の保存則, 全質量に関する運動 量保存則, 全質量に関する全エネルギー保存則から導出する. 診断方程式には, 理想気体の状態方程式を用いる 3.1.
!!注意: この付録中では導出の都合上, 乾燥空気の気体定数を  , 
定圧比熱を
, 
定圧比熱を  , 全大気の気体定数を
, 全大気の気体定数を  とおく. 
しかし, モデルの実装について記した別紙
『支配方程式系とその離散化』
の『力学過程』
では, 乾燥空気の気体定数を
 とおく. 
しかし, モデルの実装について記した別紙
『支配方程式系とその離散化』
の『力学過程』
では, 乾燥空気の気体定数を  , 定圧比熱を
, 定圧比熱を  と表記している
ので留意いただきたい.
 と表記している
ので留意いただきたい. 
乾燥空気, 水蒸気の状態方程式はそれぞれ
|  |  | (3.1) | 
|  |  | (3.2) | 
 は圧力,
 は圧力,  は密度,
は密度,  は気体定数,
は気体定数,  は温度であり,
は温度であり,
 ,
,  はそれぞれ乾燥空気および水蒸気に
関する量であることを示す. したがって, 全圧
 はそれぞれ乾燥空気および水蒸気に
関する量であることを示す. したがって, 全圧  は,
 は, 
    
|  | (3.3) | 
 は比湿, であり,
 は比湿, であり,
 ,
,
 である. したがって, 
全大気の状態方程式は,
 である. したがって, 
全大気の状態方程式は,
    
 である. あるいは, 仮温度
 である. あるいは, 仮温度 
 を用いれば,
 を用いれば,
    
全大気の質量保存則は, 水蒸気の生成消滅を無視すれば 3.2,
 は風速である. 
ラグランジュ形式で記述すれば,
は風速である. 
ラグランジュ形式で記述すれば, 
    
|  | (3.7) | 
水蒸気密度  に対する質量保存則は, 単位時間単位体積あたりの生成
消滅量を
 に対する質量保存則は, 単位時間単位体積あたりの生成
消滅量を  とすれば,
 とすれば, 
    
 に関する式は, 原理的には(
 に関する式は, 原理的には(![[*]](crossref.png) ) と(3.8) から得ることができる. しかし, 
今の場合, (3.6)で水蒸気の生成消滅を無視したので, 
正しくは得られない. そこで比湿の生成消滅に関する項を改めて
) と(3.8) から得ることができる. しかし, 
今の場合, (3.6)で水蒸気の生成消滅を無視したので, 
正しくは得られない. そこで比湿の生成消滅に関する項を改めて  と定
義する.
 と定
義する. 
    
|  | (3.9) | 
運動量保存則は, 水蒸気の生成消滅にともなう運動量変化を無視すれば次のよ うに書ける.
 は粘性応力テンソル,
 は粘性応力テンソル,  は惑星
の引力によるポテンシャル
    3.3,
 は惑星
の引力によるポテンシャル
    3.3,
 はその他の外力項である. あるいは連続の式
を用いてラグランジュ形式で記述すると
 はその他の外力項である. あるいは連続の式
を用いてラグランジュ形式で記述すると
    
|  | (3.11) | 
 とおき, さらにベクトル表示する.
 とおき, さらにベクトル表示する.
    
|  | (3.12) | 
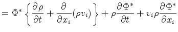
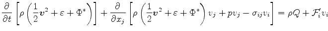
単位質量あたりの全エネルギーは, 運動エネルギー 
 と内部エ
ネルギー
 と内部エ
ネルギー 
 およびポテンシャルエネルギー
 およびポテンシャルエネルギー  の和で表
現される. この時間変化率の式は, 水蒸気の生成消滅による影響を無視すれば,
 の和で表
現される. この時間変化率の式は, 水蒸気の生成消滅による影響を無視すれば,
    
 は外部からの加熱率である. 一方, 運動エネルギーとポ
テンシャルエネルギーの和の保存式は, 運動量保存式 (
 は外部からの加熱率である. 一方, 運動エネルギーとポ
テンシャルエネルギーの和の保存式は, 運動量保存式 (![[*]](crossref.png) ) に
) に  をかけ, 連続の式を用いて変形することで得られる
    3.4.
 をかけ, 連続の式を用いて変形することで得られる
    3.4.
    
 であるとしている. 
(3.13)と
(3.14)
との差をとると, 次のように内部エネルギーの式が得られる.
 であるとしている. 
(3.13)と
(3.14)
との差をとると, 次のように内部エネルギーの式が得られる.
    
|  | (3.15) | 
 とおくこととする.
 とおくこととする.
内部エネルギーを温度を用いて表現すると 
 である.
 である.
 は定圧比熱である. 
さらに状態方程式 (3.4) を用いて(3.16)
を変形する.
は定圧比熱である. 
さらに状態方程式 (3.4) を用いて(3.16)
を変形する. 
 であることに注意すれば
 であることに注意すれば
    
|  | (3.17) | 
 を乾燥空気の定圧比熱
 を乾燥空気の定圧比熱  で近似すると
    3.5, 
次の熱力学の式を得る.
 
で近似すると
    3.5, 
次の熱力学の式を得る. 
|  | (3.18) | 
ここでは, 方程式系を
一定の自転角速度 
 で回転する回転系に変換する.
 で回転する回転系に変換する. 
慣性系における時間微分を添字 a で, 回転系を添字 r で表現する. このとき, 
任意のスカラー  に対して,
 に対して,
    
|  | (3.19) | 
任意のベクトル  に対する慣性系および回転系での微分は次の関
係をもつ.
 に対する慣性系および回転系での微分は次の関
係をもつ. 
    
(証明)   任意のベクトル  を, 慣性系では
 を, 慣性系では
    
|  | (3.21) | 
|  | (3.22) | 
|  |  | |
|  | ||
|  | ||
|  | (3.23) | 
ここで 
 (
 (  は位置ベクトル ) とおけば慣
性系での速度
 は位置ベクトル ) とおけば慣
性系での速度 
 (これまでの
 (これまでの 
 ) は回転系での速度
) は回転系での速度 
 を用いて次のように表すことができる.
 を用いて次のように表すことができる.
    
|  | (3.24) | 
 とお
けば, 速度の時間微分項は
 とお
けば, 速度の時間微分項は 
    
変換の(3.25)を用いて運動方程式を回転系で記述する.
|  | (3.26) | 
 を定義すれば, 運動方程式は
 を定義すれば, 運動方程式は 
    
|  | (3.27) | 
連続の式および熱力学の式においては, ラグランジュ微分が作用している密度 および温度は座標変換に無関係なスカラーであるため, その時間微分の形は変 わらない. 連続の式は, 速度場の発散を含むが, これは座標変換によっても値 は変わらない. したがって, これらの式は形を変えない.
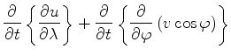
一般の直交曲線座標 
 において, スカラー
 において, スカラー 
 およびベクトル
 およびベクトル 
 は次のように表現
される. なお,
 は次のように表現
される. なお,  は各軸方向の規模因子であり, 各軸方向の基底ベクトル
は
 は各軸方向の規模因子であり, 各軸方向の基底ベクトル
は 
 とする.
 とする.
|  |  | (3.28) | 
|  | ![$\displaystyle = \frac{1}{h_1 h_2 h_3} \left[ \DP{}{\xi_1} ( h_2 h_3 A_1) + \DP{}{\xi_2} ( h_1 h_3 A_2) + \DP{}{\xi_3} ( h_1 h_2 A_3) \right],$](img123.png) | (3.29) | 
|  | ![$\displaystyle = \frac{1}{h_1 h_2 h_3} \left[ \DP{}{\xi_1} \left( \frac{h_2 h_3}...
... + \DP{}{\xi_3} \left( \frac{h_1 h_2}{h_3} \DP{\bullet}{\xi_3} \right) \right],$](img125.png) | (3.30) | 
|  | ![$\displaystyle = \left( \frac{1}{h_2 h_3} \left[ \DP{(h_3 A_3)}{\xi_2} - \DP{(h_...
...{h_1 h_2} \left[ \DP{(h_2 A_2)}{\xi_1} - \DP{(h_1 A_1)}{\xi_2} \right] \right),$](img127.png) | (3.31) | 
|  |  | (3.32) | 
|  | ![$\displaystyle = \sum^3_{k=1} \Dvect{e}_k \left[ \DP{v_k}{t} + \sum^3_{j=1} \fra...
...h_j}{\xi_k} +\frac{v_k}{h_k} \frac{1}{h_j} \DP{h_k}{\xi_j} \right) v_j \right].$](img131.png) | (3.33) | 
重力加速度  が惑星中心を向いているとみなして, 方程式系を球
座標
 が惑星中心を向いているとみなして, 方程式系を球
座標 
 に変換する. 回転
系に固定した直交直線座標
 に変換する. 回転
系に固定した直交直線座標 
 との関係は
 との関係は
    
|  |  | (3.34) | 
|  |  | (3.35) | 
|  |  | (3.36) | 
 は緯度,
 は緯度,  は経度,
 は経度,  は鉛直座標であ
る. また, 基底ベクトルを
 は鉛直座標であ
る. また, 基底ベクトルを 
 , 速度ベクトルを
, 速度ベクトルを  で表す.
 で表す. 
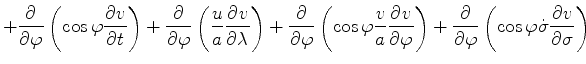
各方向の規格化因子 (scale factor) は
|  | (3.37) | 
 およびベクトル
 およびベクトル 
 に関する微分表現は次のよう
になる.
 に関する微分表現は次のよう
になる. 
    
|  |  | (3.38) | 
|  | ![$\displaystyle = \frac{1}{r^2 \cos \varphi} \left[ r \DP{A_{\lambda}}{\lambda} +...
...arphi} ( \cos \varphi A_{\varphi}) + \cos \varphi \DP{}{r} ( r^2 A_r ) \right],$](img146.png) | (3.39) | 
|  | ![$\displaystyle = \frac{1}{r^2 \cos \varphi} \left[ \DP{}{\lambda} \left( \frac{1...
...hi} \right) + \DP{}{r} \left( r^2 \cos \varphi \DP{\bullet}{r} \right) \right],$](img147.png) | (3.40) | 
| ![\begin{align*}\begin{split}\Drot \Dvect{A} & = \quad \Dvect{e}_{\lambda} \frac{1...
...da} - \DP{}{\varphi} (\cos \varphi A_{\lambda}) \right], \end{split}\end{align*}](img148.png) | (3.41) | |
|  |  | (3.42) | 
| ![\begin{align*}\begin{split}\DD{\Dvect{A}}{t} & = \quad \Dvect{e}_{\lambda} \left...
...rac{v}{r} A_{\varphi} - \frac{u}{r} A_{\lambda} \right]. \end{split}\end{align*}](img150.png) | (3.43) | 
コリオリ項の表現は次のようになる.
|  | (3.44) | 
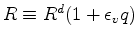
|  |  | (3.45) | 
|  |  | (3.46) | 
|  |  | (3.47) | 
|  | (3.48) | 
|  | (3.49) | 
|  | (3.50) | 
|  | (3.51) | 
|  | (3.52) | 
 -座標プリミティブ方程式
-座標プリミティブ方程式
鉛直方向の運動方程式に対し, 以下のように静力学平衡近似を行なう.
|  | (3.53) | 
 をかけることで得られる.
 をかけることで得られる. 
    
|  |  | |
|  | ||
|  | ||
|  | ||
|  | (3.54) | 
|  |  | (3.55) | 
|  |  | (3.56) | 
 はコリオリパラメータ
 はコリオリパラメータ
 である.
 である. 
大気の層が惑星半径に比べて薄いことを仮定し, 方程式中の  を, 代表的
な惑星半径
 を, 代表的
な惑星半径  でおきかえる. また,
 でおきかえる. また,  による微分はすべて海抜高度
 による微分はすべて海抜高度  による微分でおきかえる. このとき基礎方程式は次のようになる.
 
による微分でおきかえる. このとき基礎方程式は次のようになる.
    
|  |  | (3.57) | 
|  |  | (3.58) | 
|  |  | (3.59) | 
|  |  | (3.60) | 
| 0 |  | (3.61) | 
|  |  | (3.62) | 
|  |  | (3.63) | 
|  |  | (3.64) | 
|  |  | (3.65) | 
 -座標プリミティブ方程式
-座標プリミティブ方程式
静力学平衡のもとでは, 気圧  は鉛直座標
 は鉛直座標  に対し単調減少する関数で
ある. そこで, 鉛直座標を
 に対し単調減少する関数で
ある. そこで, 鉛直座標を  から, 地表面気圧
 から, 地表面気圧  で規格化した気圧座標,
で規格化した気圧座標,
    
 と
 と  の関係は, 静力学平衡の式
(3.5)を変形して得られる.
 の関係は, 静力学平衡の式
(3.5)を変形して得られる. 
    
 -座標変換公式
-座標変換公式
 - 座標から
- 座標から  - 座標への変換公式を示す.
- 座標への変換公式を示す. 
鉛直微分
|  | (3.68) | 
|  | (3.71) | 
 -座標鉛直速度
-座標鉛直速度 
 を定義する.
 を定義する. 
    
 -座標プリミティブ方程式系
-座標プリミティブ方程式系
(3.67)を重力ポテンシャル  を用いて書けば,
 を用いて書けば,
    
|  | (3.74) | 
水平の圧力勾配は, (3.69)および(3.70) を 
 に対して適用し, (3.66) を用いれば次のように変換される.
 に対して適用し, (3.66) を用いれば次のように変換される. 
    
|  | ![$\displaystyle = \frac{1}{\rho} \left\{ \DP[][\sigma]{p}{\lambda} + \frac{g \sigma}{R^d T_v} \DP{p}{\sigma} \DP[][\sigma]{z}{\lambda} \right\}$](img207.png) | |
| ![$\displaystyle = \frac{R^d T_v}{p_s} \DP{p_s}{\lambda} + \frac{R^d T_v}{p} \frac{g \sigma}{R^d T_v} p_s \DP[][\sigma]{z}{\lambda}$](img208.png) | ||
| ![$\displaystyle = R^d T_v \DP[][\sigma]{\pi}{\lambda} + \DP{\Phi}{\lambda},$](img209.png) | (3.75) | |
|  | ![$\displaystyle = R^d T_v \DP[][\sigma]{\pi}{\varphi} + \DP{\Phi}{\varphi}.$](img211.png) | (3.76) | 
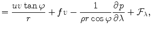
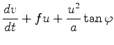
 である. したがって, 運動方程式の水平成分は,
 である. したがって, 運動方程式の水平成分は,
    
速度の発散は,
|  | ![$\displaystyle = \frac{1}{a \cos \varphi} \left[ \DP[][\sigma]{u}{\lambda} + \frac{g \sigma}{R^d T_v} \DP{u}{\sigma} \DP[][\sigma]{z}{\lambda} \right]$](img218.png) | |
| ![$\displaystyle \quad + \frac{1}{a \cos \varphi} \left[ \left( \DP{}{\varphi} (v ...
...ght] - \frac{g \sigma}{R^d T_v} \DP{}{\sigma} \left( \DD{z}{t} \right)_{\sigma}$](img219.png) | ||
| ![$\displaystyle = \frac{1}{a \cos \varphi} \left[ \DP[][\sigma]{u}{\lambda} + \frac{g \sigma}{R^d T_v} \DP{u}{\sigma} \DP[][\sigma]{z}{\lambda} \right]$](img218.png) | ||
| ![$\displaystyle \quad + \frac{1}{a \cos \varphi} \left[ \left( \DP{}{\varphi} (v ...
...igma}{R^d T_v}\DP{}{\sigma} ( v \cos \varphi) \DP[][\sigma]{z}{\lambda} \right]$](img220.png) | ||
| ![$\displaystyle \quad - \frac{g \sigma}{R^d T_v} \DP{}{\sigma} \left[ \DP[][\sigm...
...} + \frac{v}{a} \DP[][\sigma]{z}{\varphi} + \dot{\sigma} \DP{z}{\sigma} \right]$](img221.png) | ||
| ![$\displaystyle = \frac{1}{a \cos \varphi} \DP[][\sigma]{u}{\lambda} + \frac{1}{a...
...t( \DP{}{\varphi} (v \cos \varphi) \right)_{\sigma} + \DP{\dot{\sigma}}{\sigma}$](img222.png) | ||
| ![$\displaystyle \quad - \frac{g \sigma}{R^d T_v} \left[ \DP{}{\sigma} \DP[][\sigm...
...P[][\sigma]{z}{\varphi} + \dot{\sigma} \DP{}{\sigma} \DP[][]{z}{\sigma} \right]$](img223.png) | ||
|  | (3.79) | 
| ![$\displaystyle \Ddiv{\Dvect{v}_H} \equiv \frac{1}{a \cos \varphi} \DP[][\sigma]{...
...ac{1}{a \cos \varphi} \left( \DP{}{\varphi} (v \cos \varphi ) \right)_{\sigma}.$](img225.png) | (3.80) | 
 - 座標連続の式は次のように変換される.
- 座標連続の式は次のように変換される. 
    
|  |  | |
|  | ||
|  | (3.81) | 
 を用いて記述すれば次のようになる.
 を用いて記述すれば次のようになる. 
      
(3.62)の右辺第1項は次のように変換される.
|  |  | |
|  | ||
|  | (3.83) | 
|  | (3.84) | 
ここで,  座標における境界条件について述べる.
 座標における境界条件について述べる. 
|  | (3.86) | 
 は表面地形を表す. この境界条件を用いて, 静力学平衡
の式を鉛直積分することで, 任意の
 は表面地形を表す. この境界条件を用いて, 静力学平衡
の式を鉛直積分することで, 任意の  における高度
 における高度  を求める
ことができる.
 を求める
ことができる. 
 座標鉛直速度
 座標鉛直速度
|  | (3.87) | 
連続の式を鉛直方向に  から
 から  まで積分し,
 まで積分し,
 に関する境界条件を用いれば, 傾向方程式とよばれる
 に関する境界条件を用いれば, 傾向方程式とよばれる  の時間変化に関する式が得られる.
 
の時間変化に関する式が得られる.
    
|  | (3.88) | 
 の情報がなくても地表面気圧の時間変化
を求めることができる. なお, ここでは後のことを考えて
 の情報がなくても地表面気圧の時間変化
を求めることができる. なお, ここでは後のことを考えて 
 を
 を  と表現している.
 と表現している.  については次節で改めて
定義する.
 については次節で改めて
定義する.
鉛直速度
 は, 連続の式を鉛直方向に
は, 連続の式を鉛直方向に  から
 から 
 まで積分することで診断的に得られる.
 まで積分することで診断的に得られる. 
    
|  | (3.89) | 
渦度の定義を再掲する.
|  | (3.90) | 
運動方程式の  の式
(3.77)
に
 の式
(3.77)
に
 を 
作用し,
 を 
作用し,  の式
(3.78)
に
 の式
(3.78)
に 
 を 
作用し, この両式の差をとって変形すれば次の渦度方程式を得る.
 を 
作用し, この両式の差をとって変形すれば次の渦度方程式を得る. 
    
(証明) (3.77), (3.78)のそれぞれ左辺第1項を, (3.72), (3.73) を用いて展開すると以下のようになる.
 を作用した式から
(3.92)
に
 を作用した式から
(3.92)
に 
 を 
作用した式を引くことで,
 を 
作用した式を引くことで,
    
 に関する
項 (左辺第7項と第16項) は打ち消しあって消える.
その他の項は以下のように整理される.
に関する
項 (左辺第7項と第16項) は打ち消しあって消える.
その他の項は以下のように整理される.
時間微分の項 (第1項と第10項):
速度の2階水平微分の項その1 (第3, 12, 15項):
速度の2階水平微分の項その2 (第2, 6, 11項):
(3.94)を
(3.95), 
(3.96), 
(3.97)
を用いて整理し, 両辺に 
 を掛けることで,
(3.91)が得られる.
 を掛けることで,
(3.91)が得られる. 
(証明終り)
発散の定義を再掲する.
|  | (3.98) | 
運動方程式の  の式
(3.77)
に
 の式
(3.77)
に 
 を作用し,
 を作用し,  の式
(3.78)
に
 の式
(3.78)
に 
 を作用し,
両式の和をとって変形すると次の発散方程式を得る.
 を作用し,
両式の和をとって変形すると次の発散方程式を得る. 
    
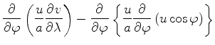
|  | ![$\displaystyle = \frac{1}{a^2 \cos^2 \varphi} \DP[2]{}{\lambda} + \frac{1}{a^2 \cos \varphi} \DP{}{\varphi} \left( \cos \varphi \DP{}{\varphi} \right),$](img289.png) | (3.100) | 
|  |  | (3.101) | 
(証明)  
(3.92)
に 
 を作用した式と
(3.93)
に
 を作用した式と
(3.93)
に 
 を作用した式との和をとることで,
 を作用した式との和をとることで,
    
時間微分の項 (第1項と第10項):
 に関する項 (第7項と第16項):
に関する項 (第7項と第16項):
    
速度の2階水平微分の項その1 (第2, 12項):
速度の2階水平微分の項その2 (第3, 6項, (3.105)の第2項):
速度の2階水平微分の項その3 (第11, 15項, (3.105)の第3項):
(3.102)を
(3.103), 
(3.104), 
(3.105), 
(3.106), 
(3.107)
を用いて整理し, 両辺に 
 を掛けることで,
(3.99)が得られる.
 を掛けることで,
(3.99)が得られる. 
(証明終り)
(3.85)より
|  | (3.108) | 
|  | (3.109) | 
仮温度  を次のように
 を次のように  のみに依存する場
 のみに依存する場 
 と, そこからのずれ成分
 と, そこからのずれ成分  にわけて記述する.
 にわけて記述する.
渦度方程式で  を含む項は次のように変形される。
 を含む項は次のように変形される。
    
| ![$\displaystyle - \frac{1}{a \cos \varphi} \DP{}{\lambda} \left[ \frac{R^d T_v}{a...
...\cos \varphi} \DP{}{\varphi} \left[ \frac{R^d T_v}{a} \DP{\pi}{\lambda} \right]$](img322.png) | ||
|  | ![$\displaystyle - \frac{1}{a \cos \varphi} \DP{}{\lambda} \left[ \frac{R^d \overl...
...phi} \DP{}{\lambda} \left[ \frac{R^d T_v^{\prime}}{a} \DP{\pi}{\varphi} \right]$](img323.png) | |
| ![$\displaystyle + \frac{1}{a \cos \varphi} \DP{}{\varphi} \left[ \frac{R^d \overl...
...phi} \DP{}{\varphi} \left[ \frac{R^d T_v^{\prime}}{a} \DP{\pi}{\lambda} \right]$](img324.png) | ||
|  | ![$\displaystyle - \frac{1}{a \cos \varphi} \left\{ \frac{R^d \overline{T}_v}{a} \...
...}{\varphi} \left[ \frac{R^d T_v^{\prime}}{a} \DP{\pi}{\lambda} \right] \right\}$](img325.png) | |
|  | ![$\displaystyle - \frac{1}{a \cos \varphi} \left\{ \DP{}{\lambda} \left[ \frac{R^...
...\varphi} \left[ \frac{R^d T_v^{\prime}}{a} \DP{\pi}{\lambda} \right] \right\} .$](img326.png) | (3.110) | 
 を含む項は次のように変形される.
 を含む項は次のように変形される.
    
| ![$\displaystyle - \frac{1}{a \cos \varphi} \DP{}{\lambda} \left[ \frac{R^d T_v}{a...
... \DP{}{\varphi} \left[ \frac{R^d T_v}{a} \cos \varphi \DP{\pi}{\varphi} \right]$](img327.png) | ||
|  | ![$\displaystyle - \frac{1}{a \cos \varphi} \DP{}{\lambda} \left[ \frac{R^d \overl...
...ambda} \left[ \frac{R^d T_v^{\prime}}{a \cos \varphi} \DP{\pi}{\lambda} \right]$](img328.png) | |
| ![$\displaystyle - \frac{1}{a \cos \varphi} \DP{}{\varphi} \left[ \frac{R^d \overl...
...arphi} \left[ \frac{R^d T_v^{\prime}}{a} \cos \varphi \DP{\pi}{\varphi} \right]$](img329.png) | ||
|  | ![$\displaystyle - \frac{1}{a^2 \cos^2 \varphi} \DP[2]{}{\lambda} \left( R^d \over...
...ambda} \left[ \frac{R^d T_v^{\prime}}{a \cos \varphi} \DP{\pi}{\lambda} \right]$](img330.png) | |
| ![$\displaystyle - \frac{1}{a^2 \cos \varphi} \DP{}{\varphi} \left[ \cos \varphi \...
...arphi} \left[ \frac{R^d T_v^{\prime}}{a} \cos \varphi \DP{\pi}{\varphi} \right]$](img331.png) | ||
|  | ![$\displaystyle - \nabla_{\sigma}^2 \left( R^d \overline{T}_v \pi \right) - \frac...
...phi} \left[ \frac{R^d T_v^{\prime}}{a} \cos \varphi \DP{\pi}{\varphi} \right] .$](img332.png) | (3.111) | 
|  | ![$\displaystyle \equiv \frac{1}{a^{2} \cos^2 \varphi} \DP[2]{}{\lambda} + \frac{1}{a^{2} \cos \varphi} \DP{}{\varphi} \left( \cos \varphi \DP{}{\varphi} \right)$](img334.png) | (3.112) | 
熱力学の式では, 温度  を
 を  のみに依存する場
 のみに依存する場 
 と, そこからのずれ成分
 と, そこからのずれ成分  にわけて記述する. 
すなわち, 右辺第1-3項は次のように変形される.
 にわけて記述する. 
すなわち, 右辺第1-3項は次のように変形される.
    
|  | ||
|  | ||
|  | ||
| ![$\displaystyle \qquad \qquad + \overline{T} \left[ \frac{1}{a \cos \varphi} \DP{...
...frac{1}{a \cos \varphi} \DP{}{\varphi} ( v \cos \varphi) \right] + T^{\prime} D$](img340.png) | ||
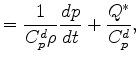
|  | (3.113) | 
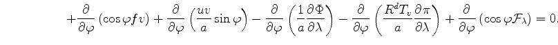
以上を用いて方程式系を記述すれば次のようになる.
連続の式
|  | (3.114) | 
|  | (3.115) | 
|  |  | (3.116) | 
|  |  KE  | (3.117) | 
|  |  | (3.118) | 
|  |  | (3.119) | 
|  | (3.120) | 
|  |  | (3.121) | 
(3.16)で導入した  から粘性による寄与
 から粘性による寄与 
 を再び分離し,
 を再び分離し, 
 とする. 一般に粘
性は運動方程式において適当なパラメタリゼーションによって表現する. また, 
渦度, 発散, 温度, 水蒸気の式に対してそれぞれ水平拡散項
 とする. 一般に粘
性は運動方程式において適当なパラメタリゼーションによって表現する. また, 
渦度, 発散, 温度, 水蒸気の式に対してそれぞれ水平拡散項 
 ,
,
 ,
, 
 ,
, 
 をつける. 
この項の付加は主に数値的安定性の要請
によるものであるが, 物理的には後で行なう離散化のスケール以下の運動を表
現していると解釈できる. 最後に, 乾燥大気の気体定数および定圧比熱
 をつける. 
この項の付加は主に数値的安定性の要請
によるものであるが, 物理的には後で行なう離散化のスケール以下の運動を表
現していると解釈できる. 最後に, 乾燥大気の気体定数および定圧比熱 
 ,
,  をそれぞれ
 をそれぞれ  ,
,  のようにあらためて置きなおせば,
dcpam5の力学過程の支配方程式系を得る.
 のようにあらためて置きなおせば,
dcpam5の力学過程の支配方程式系を得る.
|  |  | |
|  | ||
|  | ||
|  | ||
|  | 
 であるとしている.
 であるとしている. 
            
|  |  | |
|  | 
 を
 を  とする近似は
	(仮温度
 とする近似は
	(仮温度  を導入することで)行なわなかった.
 を導入することで)行なわなかった. 
	 についてだけ近似するのは近似のレベルに
	一貫性がないように思われる.
 についてだけ近似するのは近似のレベルに
	一貫性がないように思われる. 
以下はその主張. 混合比 
 を用いている. 全大気の内部
        エネルギーは
 を用いている. 全大気の内部
        エネルギーは 
        
|  |  | |
|  | ||
|  | ||
|  | 
 
 
|  |  | |
|  | ||
|  | ||
|  | ||
|  | 
 ,  および
,  および 
 を用いた. 熱力学の式では, この状況に対して,
 を用いた. 熱力学の式では, この状況に対して, 
 と近似した. しかし, 静力学平衡の式では, たった
 と近似した. しかし, 静力学平衡の式では, たった  の違いなの
        に
 の違いなの
        に  を
 を  に近似せず, 仮温度の導入により厳密に
	取り扱おうとしている.
 に近似せず, 仮温度の導入により厳密に
	取り扱おうとしている. 
    
 の座標変換は座標変換テ
	ンソルに依存しない(で同じ値をとる)からである.
 の座標変換は座標変換テ
	ンソルに依存しない(で同じ値をとる)からである. 
一方, ベクトルの座標変換は, 座標変換テンソルとの積で表現され る. したがって, 座標変換テンソル自体が時間変化する場合, 当然ベク トルの時間微分は座標変換テンソルの時間微分の影響を受ける.
 
 
 
 
