 
 
 
 
 
   
この章では力学過程の支配方程式を記し, その支配方程式の離散化を 行う.
ここで述べる力学過程とは, 流体の支配方程式における外力項を除いた部分を指す. 外力項である放射や鉛直乱流拡散や雲などに関する過程については 別紙を参照のこと.
離散化については, 空間に関する離散化である鉛直離散化と, 水平離散化の方法ならびに時間に関する離散化を行う.
ここでは力学過程の支配方程式系を示す. この方程式系の詳細に関しては, Haltiner and Williams (1980) もしくは 別紙『 支配方程式系の導出に関する参考資料』 の『力学過程の支配方程式系の導出』を参照せよ.
ここで, 独立変数は以下の通りである.
|  | ![$\displaystyle : \quad 緯度 [\mathrm{deg.}],$](img118.png) | (3.7) | 
|  | ![$\displaystyle : \quad 経度 [\mathrm{deg.}],$](img120.png) | (3.8) | 
|  |  | (3.9) | 
|  | ![$\displaystyle : \quad 時間 [\mathrm{s}].$](img124.png) | (3.10) | 
 は気圧,
は気圧,  は地表面気圧である. 
モデルで時間発展を計算することとなる予報変数は以下の通りである.
 は地表面気圧である. 
モデルで時間発展を計算することとなる予報変数は以下の通りである. 
 は東西風速,
 は東西風速,  は南北風速であり, それぞれ
 は南北風速であり, それぞれ
 の関数である. 
各時間ステップで診断的に求められる変数は以下の通りである.
 の関数である. 
各時間ステップで診断的に求められる変数は以下の通りである. 
|  | ![$\displaystyle \equiv gz : \quad ジオポテンシャル高度 [\mathrm{m}^{2}\ \mathrm{s}^{-2}],$](img139.png) | (3.16) | 
|  |  | (3.17) | 
|  | ![$\displaystyle : \quad 水平平均気温 [\mathrm{K}],$](img143.png) | (3.18) | 
|  |  | (3.19) | 
|  |  | (3.20) | 
|  |  | (3.21) | 
|  |  | (3.22) | 
|  |  | (3.23) | 
|  | ![$\displaystyle \equiv \frac{1}{a^{2} \cos^2 \varphi} \DP[2]{}{\lambda} + \frac{1}{a^{2} \cos \varphi} \DP{}{\varphi} \left( \cos \varphi \DP{}{\varphi} \right),$](img155.png) | (3.24) | 
| KE  |  | (3.25) | 
|  |  | (3.26) | 
|  |  | (3.27) | 
|  |  | (3.28) | 
|  |  | (3.29) | 
|  |  | (3.30) | 
|  |  | (3.31) | 
|  |  | (3.32) | 
|  |  | (3.33) | 
|  |  | (3.34) | 
|  | ![$\displaystyle : \quad 惑星半径 [\mathrm{m}],$](img177.png) | (3.35) | 
|  | ![$\displaystyle : \quad 乾燥大気の気体定数 [\mathrm{J\ kg}^{-1}\ \mathrm{K}^{-1}],$](img179.png) | (3.36) | 
|  | ![$\displaystyle : \quad 乾燥大気の大気定圧比熱 [\mathrm{J\ kg}^{-1}\ \mathrm{K}^{-1}],$](img181.png) | (3.37) | 
|  | ![$\displaystyle : \quad コリオリパラメータ [\mathrm{s}^{-1}],$](img183.png) | (3.38) | 
|  |  | (3.39) | 
|  |  | (3.40) | 
鉛直流に関する境界条件は
|  | (3.41) | 
 系での鉛直速度
系での鉛直速度
 を求める診断式
を求める診断式
ただし熱的境界条件については 第7章 において記述する.
水平拡散項は, 次のように
 の形で計算する.
の形で計算する. 
| ![$\displaystyle {\cal D}(D) = - K_{HD} \left[ (-1)^{N_D/2} \nabla^{N_D} - \left( \frac{2}{a^2} \right)^{N_D/2} \right] D ,$](img194.png) | (3.45) | 
|  | (3.46) | 
|  | (3.47) | 
 としては, 4
としては, 4 16を用いる.
16を用いる.
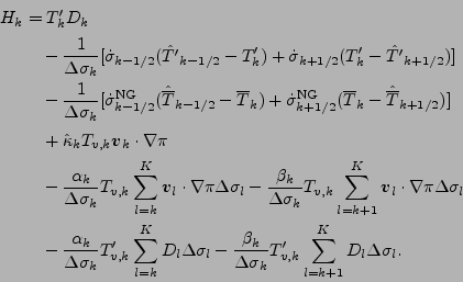
ここでは支配方程式を鉛直方向に離散化する. Arakawa and Suarez(1983) に従って, (3.1)〜(3.6) を鉛直方向に差分によって離散化する. 各方程式の離散化表現は次のようになる.
|  |  | (3.48) | 
|  |  | (3.49) | 
|  |  | (3.50) | 
|  | (3.51) | 
|  | (3.52) | 
|  | (3.53) | 
|  |  | (3.54) | 
|  |  | (3.55) | 
|  | (3.58) | 
|  | (3.59) | 
|  | (3.60) | |
|  |  | (3.61) | 
|  KE  |  | (3.62) | 
|  | (3.63) | 
|  | (3.64) | 
|  | (3.65) | 
| ![$\displaystyle R_k = q_k D_k - \frac{1}{2 \Delta \sigma_k} \left[ \dot{\sigma}_{k-1/2} ( q_{k-1} - q_k ) + \dot{\sigma}_{k+1/2} ( q_k - q_{k+1} ) \right].$](img233.png) | (3.69) | 
ここでは支配方程式を水平離散化する. 水平方向の離散化はスペクトル変換法を用いる(Bourke, 1988). 経度, 緯度に関する微分の項は直交関数展開によって評価し, 一方, 非線型項は格子点上で計算する. 各方程式のスペクトル表現は以下のようになる. 詳しくは, 第A章 を参照せよ.
|  |  | (3.70) | 
|  | (3.71) | 
| ![$\displaystyle \tilde{\cal D}_{M,n}^m = - K_{HD} \left[ \left( \frac{-n(n+1)}{a^{2}} \right)^{N_D/2} - \left( \frac{2}{a} \right)^{N_D} \right] .$](img239.png) | (3.74) | 
|  | (3.75) | 
|  | (3.76) | 
|  | (3.77) | 
ここでは時間積分スキームについて記す.
時間差分スキームは基本的に leap frog である.
ただし, 拡散項および物理過程の項は後方差分もしくは前方差分とする.
計算モードを抑えるために時間フィルター(Asselin, 1972)を用いる.
さらに を大きくとるために,
重力波の項に semi-implicit の手法を適用する(Bourke, 1988).
 を大きくとるために,
重力波の項に semi-implicit の手法を適用する(Bourke, 1988).
移流項等の時間積分スキームとして leap frog を用いる.
水平拡散項には 
 の後方差分を使用する.
物理過程の項(
 の後方差分を使用する.
物理過程の項(
 )には
)には 
 の前方差分を使用する.
ただし, 鉛直拡散の時間変化項の計算に関しては後方差分的な取扱いをする.
また, 対流・凝結過程に関しては
一度それらを考慮せずに時間積分して,
その後で場を修正するという形式をとる(adjustment).
摩擦熱の項も補正として扱う.
 の前方差分を使用する.
ただし, 鉛直拡散の時間変化項の計算に関しては後方差分的な取扱いをする.
また, 対流・凝結過程に関しては
一度それらを考慮せずに時間積分して,
その後で場を修正するという形式をとる(adjustment).
摩擦熱の項も補正として扱う.
各予報変数の総体を  と表すと,
 と表すと,
|  | (3.78) | 
 は移流項等,
 は移流項等,
 は水平拡散項,
 は水平拡散項,
 は物理過程等による項である.
 は物理過程等による項である.
 には, 
摩擦熱(
 には, 
摩擦熱(
 )および
対流・凝結過程(
)および
対流・凝結過程(
 )の補正が加えられ,
)の補正が加えられ,
 となる.
 となる.
|  | (3.79) | 
leap frog における計算モードの除去のために Asselin(1972) の時間フィルターを毎ステップ適用する. すなわち,
|  | (3.80) | 
 を求める.
を求める.
 はフィルターの係数であり, 標準的な値である 0.05 を使用する.
 はフィルターの係数であり, 標準的な値である 0.05 を使用する. 
方程式系において, 
 であるような静止場を基本場とする
線型重力波項とそれ以外の項に分離する.
後者には非重力波項 (Non Gravity wave terms) として添字NGを付ける. 
鉛直方向のベクトル表現
 であるような静止場を基本場とする
線型重力波項とそれ以外の項に分離する.
後者には非重力波項 (Non Gravity wave terms) として添字NGを付ける. 
鉛直方向のベクトル表現
 ,
, 
 を用いて,
 を用いて,
|  | (3.81) | 
|  | (3.82) | 
|  |  | (3.83) | 
|  | (3.85) | 
|  KE  | (3.86) | 
|  | (3.87) | 
|  | (3.88) | 
 は,
 は, 
 が成り立つとき 1, そうでないとき 0 となる関数である.
 が成り立つとき 1, そうでないとき 0 となる関数である.
以下では, 次のような表現を使用する.
|  |  | (3.96) | 
|  |  | (3.97) | 
|  | (3.102) | 
 について解くことができる.
その後,
 について解くことができる.
その後,
|  | (3.103) | 
 における値
 における値
 が求められる.
が求められる.
 
 
 
 
