next up previous
: A. 使用上の注意とライセンス規定 : dcpam5 支配方程式系の導出に関する参考資料 : 2. 座標系の取り方


3. 力学過程の支配方程式系の導出

3.1 はじめに

dcpam5では力学計算として球面緯度経度座標, 鉛直 $ \sigma $ 座標の プリミティブ方程式系を解いている. 以下では, まず想定する大気について の仮定を行った後, 全質量の連続の式, 水蒸気量の式, 運動方程式 (3 成分), 熱力学の式の 6 つの方程式から, dcpam5で実装されている力学過程の 支配方程式系の導出を行う. 最終的に得られる式については 第3.8.6節 を参照のこと.

3.2 設定

dcpam5では地球大気を想定し, 全大気はともに理想気体である乾燥空気および水蒸気から成る混合大気とする. 雲水量は無視する. また, 水蒸気量が全大気に占める割合は小さいと仮定 し, 全大気の定圧比熱を乾燥大気の値で近似する.

水蒸気量の保存については, 凝結および蒸発による生成消滅を考慮する. しか し, この量が全大気に与える効果は小さいとし, 全大気の質量保存則, 運動エ ネルギー保存則, 全エネルギー保存則に影響を及ぼさないとする.

重力加速度は惑星中心に向いていると仮定する. また, 運動の水平スケールが 鉛直スケールよりもかなり大きい運動を想定し, 静力学平衡近似を行なう. さ らに, 運動は惑星表面付近に限られることを仮定して近似を行なう.

3.3 基礎方程式系の導出

方程式系は 6 本の予報方程式と 1 本の診断方程式からなる. 予報方程式は, 全質量の連続の式, 水蒸気量の式, 運動方程式(3 成分), 熱力学の式からなる. これらは, それぞれ, 全質量保存則, 水蒸気量の保存則, 全質量に関する運動 量保存則, 全質量に関する全エネルギー保存則から導出する. 診断方程式には, 理想気体の状態方程式を用いる 3.1.

!!注意: この付録中では導出の都合上, 乾燥空気の気体定数を $ R^d$, 定圧比熱を $ C_p^d$, 全大気の気体定数を $ R$ とおく. しかし, モデルの実装について記した別紙 『支配方程式系とその離散化』 の『力学過程』 では, 乾燥空気の気体定数を $ R$, 定圧比熱を $ C_p$ と表記している ので留意いただきたい.

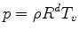
3.3.1 状態方程式

乾燥空気, 水蒸気の状態方程式はそれぞれ

$\displaystyle p^d$ $\displaystyle = \rho^{d} R^d T,$ (3.1)
$\displaystyle p^v$ $\displaystyle = \rho^{v} R^v T$ (3.2)

である. ここで$ p$ は圧力, $ \rho$は密度, $ R$は気体定数, $ T$は温度であり, $ \bullet^d$, $ \bullet^v$ はそれぞれ乾燥空気および水蒸気に 関する量であることを示す. したがって, 全圧 $ p=p^d+p^v$ は,

\begin{align*}\begin{split}p & = (\rho^d R^d + \rho^v R^v) T \\ & = \rho R^d ( 1 + \epsilon_v q ) T \end{split}\end{align*} (3.3)

となる. ここで, $ q=\rho_v/\rho$ は比湿, であり, $ \epsilon_v \equiv 1/\epsilon -1$, $ \epsilon \equiv R^d/R^v$ である. したがって, 全大気の状態方程式は,

$\displaystyle p = \rho R T.$ (3.4)

ただし, $ R \equiv R^d ( 1+\epsilon_v q )$ である. あるいは, 仮温度 $ T_v \equiv T ( 1 + \epsilon_v q )$ を用いれば,

$\displaystyle p = \rho R^d T_v$ (3.5)

と表される.

3.3.2 連続の式

全大気の質量保存則は, 水蒸気の生成消滅を無視すれば 3.2,

$\displaystyle \DP{\rho}{t} + \DP{}{x_j}( \rho v_j ) = 0.$ (3.6)

ここで, $ v$は風速である. ラグランジュ形式で記述すれば,

$\displaystyle \DD{\rho}{t} + \rho \Ddiv \Dvect{v} = 0.$ (3.7)

3.3.3 水蒸気の式

水蒸気密度 $ \rho^v$ に対する質量保存則は, 単位時間単位体積あたりの生成 消滅量を $ S$ とすれば,

$\displaystyle \DP{\rho^v}{t} + \DP{}{x_j} ( \rho^v v_j ) = S.$ (3.8)

比湿 $ q=\rho^v/\rho$ に関する式は, 原理的には([*]) と(3.8) から得ることができる. しかし, 今の場合, (3.6)で水蒸気の生成消滅を無視したので, 正しくは得られない. そこで比湿の生成消滅に関する項を改めて $ S_q$ と定 義する.

$\displaystyle \DD{q}{t} = S_q.$ (3.9)

3.3.4 運動方程式

運動量保存則は, 水蒸気の生成消滅にともなう運動量変化を無視すれば次のよ うに書ける.

$\displaystyle \DP{}{t}(\rho v_i) + \DP{}{x_j}( \rho v_i v_j ) + \DP{p}{x_i} - \DP{\sigma_{ij}}{x_j} + \rho \DP{\Phi^*}{x_i} = {\cal F}_i^{\prime}.$ (3.10)

ここで, $ \sigma_{ij}$ は粘性応力テンソル, $ \Phi^*$ は惑星 の引力によるポテンシャル 3.3, $ {\cal F}_i^{\prime}$ はその他の外力項である. あるいは連続の式 を用いてラグランジュ形式で記述すると

$\displaystyle \rho \DD{v_i}{t} + \DP{p}{x_i} - \DP{\sigma_{ij}}{x_j} + \rho \DP{\Phi^*}{x_i} = {\cal F}_i^{\prime }$ (3.11)

となる. ここで, 粘性項と外力項を $ {\cal F}_i$ とおき, さらにベクトル表示する.

$\displaystyle \rho \DD{\Dvect{v}}{t} + \Dgrad p + \rho \Dgrad \Phi^* = \Dvect{\cal F}.$ (3.12)

3.3.5 熱力学の式

単位質量あたりの全エネルギーは, 運動エネルギー $ \Dvect{v}^2/2$ と内部エ ネルギー $ \varepsilon$ およびポテンシャルエネルギー $ \Phi^*$ の和で表 現される. この時間変化率の式は, 水蒸気の生成消滅による影響を無視すれば,

$\displaystyle \DP{}{t} \left[ \rho \left( \frac{1}{2} \Dvect{v}^2 + \varepsilon...
... \right)v_j + p v_j - \sigma_{ij}v_i \right] = \rho Q + {\cal F}_i^{\prime} v_i$ (3.13)

である. ここで, $ Q$ は外部からの加熱率である. 一方, 運動エネルギーとポ テンシャルエネルギーの和の保存式は, 運動量保存式 ([*]) に $ v_i$ をかけ, 連続の式を用いて変形することで得られる 3.4.

$\displaystyle \DP{}{t} \left( \frac{1}{2} \rho v_i^2 + \rho \Phi^* \right) + \D...
...ight) = p \DP{v_j}{x_j} - \sigma_{ij} \DP{v_i}{x_j} + {\cal F}_i^{\prime} v_i .$ (3.14)

ここで, 変形の際には $ \DP{\Phi^*}{t}=0$ であるとしている. (3.13)と (3.14) との差をとると, 次のように内部エネルギーの式が得られる.

$\displaystyle \DP{}{t} ( \rho \varepsilon ) + \DP{}{x_j} ( \rho \varepsilon v_j ) = - p \DP{v_j}{x_j} + \sigma_{ij} \DP{v_i}{x_j} + \rho Q .$ (3.15)

連続の式を用いてラグランジュ形式に書き直せば

$\displaystyle \rho \DD{\varepsilon}{t} = \frac{p}{\rho} \left( \DD{\rho}{t} \right) + \rho Q.$ (3.16)

以降では, 外部からの加熱の項と粘性による加熱の項を まとめて $ Q^*$ とおくこととする.

内部エネルギーを温度を用いて表現すると $ \varepsilon = C_v T$ である. $ C_v$は定圧比熱である. さらに状態方程式 (3.4) を用いて(3.16) を変形する. $ C_p = C_v + R$ であることに注意すれば

$\displaystyle \DD{C_p T}{t} = \frac{1}{\rho} \DD{p}{t} + Q^*,$ (3.17)

となる. ここで, $ C_p$ を乾燥空気の定圧比熱 $ C_p^d$ で近似すると 3.5, 次の熱力学の式を得る.

$\displaystyle \DD{T}{t} = \frac{1}{C_p^d \rho} \DD{p}{t} + \frac{Q^*}{C_p^d}.$ (3.18)

3.4 回転系への変換

ここでは, 方程式系を 一定の自転角速度 $ \Dvect{\Omega}$ で回転する回転系に変換する.

3.4.1 スカラーの変換公式

慣性系における時間微分を添字 a で, 回転系を添字 r で表現する. このとき, 任意のスカラー $ \psi$ に対して,

$\displaystyle \left( \DD{\psi}{t} \right)_{\rm a} = \left( \DD{\psi}{t} \right)_{\rm r}$ (3.19)

が成りたつ 3.6.

3.4.2 ベクトルの変換公式

任意のベクトル $ \Dvect{A}$ に対する慣性系および回転系での微分は次の関 係をもつ.

$\displaystyle \left( \DD{\Dvect{A}}{t} \right)_{\rm a} = \left( \DD{\Dvect{A}}{t} \right)_{\rm r} + \Dvect{\Omega} \times \Dvect{A}.$ (3.20)

(証明) 任意のベクトル $ \Dvect{A}$ を, 慣性系では

  $\displaystyle \Dvect{A} = \Dvect{i} A_x + \Dvect{j} A_y + \Dvect{k} A_z$ (3.21)

と表し, 回転系では

  $\displaystyle \Dvect{A} = \Dvect{i}' A'_x + \Dvect{j}' A'_y + \Dvect{k}' A'_z$ (3.22)

と表す. 時間微分をとると

$\displaystyle \left( \DD{\Dvect{A}}{t} \right)_{\rm a}$ $\displaystyle = \Dvect{i} \left( \DD{A_x}{t} \right)_{\rm a} + \Dvect{j} \left( \DD{A_y}{t} \right)_{\rm a} + \Dvect{k} \left( \DD{A_z}{t} \right)_{\rm a}$    
  $\displaystyle = \Dvect{i}' \left( \DD{A'_x}{t} \right)_{\rm a} + \Dvect{j}' \le...
...t{j}'}{t} \right)_{\rm a} A'_y + \left( \DD{\Dvect{k}'}{t} \right)_{\rm a} A'_z$    
  $\displaystyle = \Dvect{i}' \left( \DD{A'_x}{t} \right)_{\rm r} + \Dvect{j}' \le...
...+ \Dvect{\Omega} \times \Dvect{j}' A'_y + \Dvect{\Omega} \times \Dvect{k}' A'_z$    
  $\displaystyle = \left( \DD{\Dvect{A}}{t} \right)_{\rm r} + \Dvect{\Omega} \times \Dvect{A}.$ (3.23)

(証明終り)

ここで $ \Dvect{A}=\Dvect{r}$ ( $ \Dvect{r}$ は位置ベクトル ) とおけば慣 性系での速度 $ \Dvect{v}_a \equiv (d\Dvect{r}/dt)_{\rm a}$ (これまでの $ \Dvect{v}$) は回転系での速度 $ \Dvect{v} \equiv (d\Dvect{r}/dt)_{\rm
r}$ を用いて次のように表すことができる.

$\displaystyle \Dvect{v}_a = \Dvect{v} + \Dvect{\Omega} \times \Dvect{r}.$ (3.24)

さらに, (3.20) で $ \Dvect{A}=\Dvect{v}_{\rm a}$ とお けば, 速度の時間微分項は

$\displaystyle \DD{\Dvect{v}_a}{t} = \DD{\Dvect{v}}{t} + 2 \Dvect{\Omega} \times \Dvect{v} + \Dvect{\Omega} \times ( \Dvect{\Omega} \times \Dvect{r} )$ (3.25)

と変換できる.

3.4.3 回転系への変換

変換の(3.25)を用いて運動方程式を回転系で記述する.

$\displaystyle \DD{\Dvect{v}}{t} = - \frac{1}{\rho} \Dgrad p - 2 \Dvect{\Omega} ...
...a} \times ( \Dvect{\Omega} \times \Dvect{r} ) + \Dgrad \Phi^* + \Dvect{\cal F}.$ (3.26)

ここで, 重力加速度 $ \Dvect{g} \equiv \Dgrad \Phi^* - \Dvect{\Omega}
\times ( \Dvect{\Omega} \times \Dvect{v})$ を定義すれば, 運動方程式は

$\displaystyle \DD{\Dvect{v}}{t} = - \frac{1}{\rho} \Dgrad p - 2 \Dvect{\Omega} \times \Dvect{v} + \Dvect{g} + \Dvect{\cal F}$ (3.27)

となる.

連続の式および熱力学の式においては, ラグランジュ微分が作用している密度 および温度は座標変換に無関係なスカラーであるため, その時間微分の形は変 わらない. 連続の式は, 速度場の発散を含むが, これは座標変換によっても値 は変わらない. したがって, これらの式は形を変えない.

3.5 球座標への変換

3.5.1 直交曲線座標系における微分

一般の直交曲線座標 $ (\xi_1, \xi_2, \xi_3)$ において, スカラー $ \bullet$ およびベクトル $ \Dvect{A}=(A_1, A_2, A_3)$ は次のように表現 される. なお, $ h_i$ は各軸方向の規模因子であり, 各軸方向の基底ベクトル は $ \Dvect{e}_i$ とする.

$\displaystyle \Dgrad \bullet$ $\displaystyle = \left( \frac{1}{h_1} \DP{\bullet}{\xi_1}, \frac{1}{h_2} \DP{\bullet}{\xi_2}, \frac{1}{h_3} \DP{\bullet}{\xi_3} \right),$ (3.28)
$\displaystyle \Ddiv \Dvect{A}$ $\displaystyle = \frac{1}{h_1 h_2 h_3} \left[ \DP{}{\xi_1} ( h_2 h_3 A_1) + \DP{}{\xi_2} ( h_1 h_3 A_2) + \DP{}{\xi_3} ( h_1 h_2 A_3) \right],$ (3.29)
$\displaystyle \nabla^2 \bullet$ $\displaystyle = \frac{1}{h_1 h_2 h_3} \left[ \DP{}{\xi_1} \left( \frac{h_2 h_3}...
... + \DP{}{\xi_3} \left( \frac{h_1 h_2}{h_3} \DP{\bullet}{\xi_3} \right) \right],$ (3.30)
$\displaystyle \Drot \Dvect{A}$ $\displaystyle = \left( \frac{1}{h_2 h_3} \left[ \DP{(h_3 A_3)}{\xi_2} - \DP{(h_...
...{h_1 h_2} \left[ \DP{(h_2 A_2)}{\xi_1} - \DP{(h_1 A_1)}{\xi_2} \right] \right),$ (3.31)
$\displaystyle \DD{\bullet}{t}$ $\displaystyle = \DP{\bullet}{t} + \frac{v_1}{h_1} \DP{\bullet}{\xi_1} + \frac{v_2}{h_2} \DP{\bullet}{\xi_2} + \frac{v_3}{h_3} \DP{\bullet}{\xi_3},$ (3.32)
$\displaystyle \DD{\Dvect{v}}{t}$ $\displaystyle = \sum^3_{k=1} \Dvect{e}_k \left[ \DP{v_k}{t} + \sum^3_{j=1} \fra...
...h_j}{\xi_k} +\frac{v_k}{h_k} \frac{1}{h_j} \DP{h_k}{\xi_j} \right) v_j \right].$ (3.33)

3.5.2 球座標系における微分

重力加速度 $ \Dvect{g}$ が惑星中心を向いているとみなして, 方程式系を球 座標 $ (\xi_1, \xi_2, \xi_3) = (\lambda, \varphi, r)$ に変換する. 回転 系に固定した直交直線座標 $ (x_1, x_2, x_3)$ との関係は

$\displaystyle x_1$ $\displaystyle = r \cos \varphi \cos \lambda,$ (3.34)
$\displaystyle x_2$ $\displaystyle = r \cos \varphi \sin \lambda,$ (3.35)
$\displaystyle x_3$ $\displaystyle = r \sin \varphi$ (3.36)

である. ここで, $ \lambda$ は緯度, $ \varphi$ は経度, $ r$ は鉛直座標であ る. また, 基底ベクトルを $ (\Dvect{e}_{\lambda}, \Dvect{e}_{\varphi},
\Dvect{e}_{r})$, 速度ベクトルを $ (u, v, w)$ で表す.

各方向の規格化因子 (scale factor) は

$\displaystyle h_\lambda = r \cos \varphi, \ \ h_\varphi = r, \ \ h_r = 1.$ (3.37)

したがって, スカラー $ \bullet$ およびベクトル $ \Dvect{A}=(A_{\lambda}, A_{\varphi}, A_r)$ に関する微分表現は次のよう になる.

$\displaystyle \Dgrad \bullet$ $\displaystyle = \Dvect{e}_{\lambda} \frac{1}{r \cos \varphi} \DP{\bullet}{\lamb...
...t{e}_{\varphi} \frac{1}{r} \DP{\bullet}{\varphi} + \Dvect{e}_r \DP{\bullet}{r},$ (3.38)
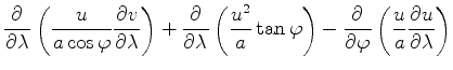
$\displaystyle \Ddiv \Dvect{A}$ $\displaystyle = \frac{1}{r^2 \cos \varphi} \left[ r \DP{A_{\lambda}}{\lambda} +...
...arphi} ( \cos \varphi A_{\varphi}) + \cos \varphi \DP{}{r} ( r^2 A_r ) \right],$ (3.39)
$\displaystyle \nabla^2 \bullet$ $\displaystyle = \frac{1}{r^2 \cos \varphi} \left[ \DP{}{\lambda} \left( \frac{1...
...hi} \right) + \DP{}{r} \left( r^2 \cos \varphi \DP{\bullet}{r} \right) \right],$ (3.40)
\begin{align*}\begin{split}\Drot \Dvect{A} & = \quad \Dvect{e}_{\lambda} \frac{1...
...da} - \DP{}{\varphi} (\cos \varphi A_{\lambda}) \right], \end{split}\end{align*} (3.41)
$\displaystyle \DD{\bullet}{t}$ $\displaystyle = \DP{\bullet}{t} + \frac{u}{r \cos \varphi} \DP{\bullet}{\lambda} + \frac{v}{r} \DP{\bullet}{\varphi} + w \DP{\bullet}{r},$ (3.42)
\begin{align*}\begin{split}\DD{\Dvect{A}}{t} & = \quad \Dvect{e}_{\lambda} \left...
...rac{v}{r} A_{\varphi} - \frac{u}{r} A_{\lambda} \right]. \end{split}\end{align*} (3.43)

3.5.3 球座標への変換

コリオリ項の表現は次のようになる.

\begin{align*}\begin{split}2 \Dvect{\Omega} \times \Dvect{v} & = 2 \Omega ( \Dve...
...vect{e}_{\varphi} - 2 \Omega \cos \varphi u \Dvect{e}_r. \end{split}\end{align*} (3.44)

したがって, 運動方程式は

$\displaystyle \DD{u}{t}$ $\displaystyle = - \frac{1}{\rho r \cos \varphi } \DP{p}{\lambda} + 2 \Omega v \...
...w \cos \varphi + \frac{u v}{r} \tan \varphi - \frac{u w}{r} + {\cal F}_\lambda,$ (3.45)
$\displaystyle \DD{v}{t}$ $\displaystyle = - \frac{1}{\rho r} \DP{p}{\varphi} - 2 \Omega u \sin \varphi - \frac{u^2}{r} \tan \varphi - \frac{v w}{r} + {\cal F}_\varphi,$ (3.46)
$\displaystyle \DD{w}{t}$ $\displaystyle = - \frac{1}{\rho} \DP{p}{r} -g + 2 \Omega u \cos \varphi + \frac{u^2}{r} + \frac{v^2}{r} + {\cal F}_r.$ (3.47)

連続の式は

$\displaystyle \Dinv{\rho} \DD{\rho}{t} + \frac{1}{r \cos \varphi} \DP{}{\lambda...
...arphi} \DP{}{\varphi} ( \cos \varphi v) + \frac{1}{r^2} \DP{}{r} ( r^2 w ) = 0.$ (3.48)

熱力学の式は

$\displaystyle \DD{}{t} T = \frac{1}{C_p^d \rho} \DD{p}{t} + \frac{Q^*}{C_p^d}.$ (3.49)

状態方程式は

$\displaystyle p = \rho R^d T_v.$ (3.50)

水蒸気の式は

$\displaystyle \DD{q}{t} = S_q.$ (3.51)

ここで,

$\displaystyle \DD{}{t} = \DP{}{t} + \frac{u}{r \cos \varphi} \DP{}{\lambda} + \frac{v}{r} \DP{}{\varphi} + w \DP{}{r}$ (3.52)

である.

3.6 $ z$-座標プリミティブ方程式

3.6.1 静力学平衡近似

鉛直方向の運動方程式に対し, 以下のように静力学平衡近似を行なう.

$\displaystyle 0 = - \frac{1}{\rho} \DP{p}{z} - g.$ (3.53)

このとき, 運動エネルギーの保存則を考慮して, 水平方向の運動方程式に対し ても近似を施す. 運動エネルギーの式は, 運動方程式の各成分にそれぞれ $ u, v, w$ をかけることで得られる.

$\displaystyle \DD{}{t} \left( \frac{1}{2} \Dvect{v}^2 \right)$ $\displaystyle = \quad u \DD{u}{t} + v \DD{v}{t} + w \DD{w}{t}$    
  $\displaystyle = \quad u \biggl\{ - \frac{1}{\rho r \cos \varphi } \DP{p}{\lambd...
...varphi }_{(3)} - \underbrace{ \frac{u w}{r} }_{(4)} + {\cal F}_\lambda \biggl\}$    
  $\displaystyle \quad + v \biggl\{ - \frac{1}{\rho r} \DP{p}{\varphi} - \underbra...
...varphi }_{(3)} - \underbrace{ \frac{v w}{r} }_{(5)} + {\cal F}_\varphi \biggl\}$    
  $\displaystyle \quad + w \biggl\{ - \frac{1}{\rho} \DP{p}{r} -g + \underbrace{ 2...
...frac{u^2}{r} }_{(4)} + \underbrace{ \frac{v^2}{r} }_{(5)} + {\cal F}_r \biggl\}$    
  $\displaystyle = - \frac{1}{\rho} \Dvect{v} \Dgrad{p} - g w - \Dvect{v} \cdot \Dvect{\cal F}.$ (3.54)

コリオリの力およびメトリック項は同じ番号のもの同士で打ち消しあって, 運 動エネルギーの時間変化に寄与しないことがわかる 3.7. したがって, 静力学平衡近似の際に鉛直成分の式から落とした項(2),(4),(5) に対応した水平成分の式の項も取り除く. これにより, 運動方程式の水平成分 は次のようになる.

$\displaystyle \DD{u}{t}$ $\displaystyle = \frac{uv \tan \varphi}{r} + fv - \frac{1}{\rho r \cos \varphi} \DP{p}{\lambda} + {\cal F}_{\lambda} ,$ (3.55)
$\displaystyle \DD{v}{t}$ $\displaystyle = - \frac{u^2 \tan \varphi}{a} - fu - \frac{1}{\rho r } \DP{p}{\varphi} + {\cal F}_{\varphi} .$ (3.56)

ここで, $ f$ はコリオリパラメータ $ f \equiv 2\Omega \sin \varphi$ である.

3.6.2 薄い球殻近似

大気の層が惑星半径に比べて薄いことを仮定し, 方程式中の $ r$ を, 代表的 な惑星半径 $ a$ でおきかえる. また, $ r$ による微分はすべて海抜高度 $ z$ による微分でおきかえる. このとき基礎方程式は次のようになる.

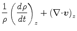
$\displaystyle \DD{\rho}{t}$ $\displaystyle = - \rho \Ddiv \Dvect{v},$ (3.57)
$\displaystyle \DD{q}{t}$ $\displaystyle = S_q,$ (3.58)
$\displaystyle \DD{u}{t}$ $\displaystyle = \frac{uv \tan \varphi}{a} + fv - \frac{1}{\rho a \cos \varphi} \DP{p}{\lambda} + {\cal F}_{\lambda},$ (3.59)
$\displaystyle \DD{v}{t}$ $\displaystyle = - \frac{u^2 \tan \varphi}{a} - fu - \frac{1}{\rho a } \DP{p}{\varphi} + {\cal F}_{\varphi},$ (3.60)
0 $\displaystyle = - \frac{1}{\rho} \DP{p}{z} - g,$ (3.61)
$\displaystyle \DD{T}{t}$ $\displaystyle = \frac{1}{C_p^d \rho} \DD{p}{t} + \frac{Q^*}{C_p^d},$ (3.62)
$\displaystyle p$ $\displaystyle = \rho R^d T_v.$ (3.63)

ここで,

$\displaystyle \DD{}{t}$ $\displaystyle = \DP{}{t} + \frac{u}{a \cos \varphi} \DP{}{\lambda} + \frac{v}{a} \DP{}{\varphi} + w \DP{}{z},$ (3.64)
$\displaystyle \Ddiv{\Dvect{v}}$ $\displaystyle \equiv \frac{1}{a \cos \varphi} \DP{u}{\lambda} + \frac{1}{a \cos \varphi} \DP{v}{\varphi} ( v \cos \varphi ) + \DP{w}{z}.$ (3.65)

3.7 $ \sigma $-座標プリミティブ方程式

静力学平衡のもとでは, 気圧 $ p$ は鉛直座標 $ z$ に対し単調減少する関数で ある. そこで, 鉛直座標を $ z$ から, 地表面気圧 $ p_s$ で規格化した気圧座標,

$\displaystyle \sigma \equiv \frac{p}{p_s}$ (3.66)

に変換する. $ \sigma $$ z$ の関係は, 静力学平衡の式 (3.5)を変形して得られる.

$\displaystyle \DP{\sigma}{z} = - \frac{g \sigma}{R^d T_v}.$ (3.67)

3.7.1 $ \sigma $-座標変換公式

$ z$- 座標から $ \sigma $- 座標への変換公式を示す.

鉛直微分

\begin{align*}\begin{split}\DP{\bullet}{z} & = \DP{\sigma}{z} \DP{\bullet}{\sigma} \\ & = - \frac{g \sigma}{R^d T_v} \DP{\bullet}{\sigma}. \end{split}\end{align*} (3.68)

水平微分

\begin{align*}\begin{split}\left( \DP{\bullet}{\lambda} \right)_z & = \left( \DP...
...bullet}{\sigma} \left( \DP{z}{\lambda} \right)_{\sigma}, \end{split}\end{align*} (3.69)
     
\begin{align*}\begin{split}\left( \DP{\bullet}{\varphi} \right)_z & = \left( \DP...
...bullet}{\sigma} \left( \DP{z}{\varphi} \right)_{\sigma}. \end{split}\end{align*} (3.70)

時間微分

\begin{align*}\begin{split}\left( \DP{\bullet}{t} \right)_z & = \left( \DP{\bull...
... \DP{\bullet}{\sigma} \left( \DP{z}{t} \right)_{\sigma}. \end{split}\end{align*} (3.71)

ラグランジュ微分はこれらを用いて,

$\displaystyle \left( \DD{\bullet}{t} \right)_z$ $\displaystyle = \left( \DP{\bullet}{t} \right)_z + \frac{u}{a \cos \varphi} \le...
...{a} \left( \DP{\bullet}{\varphi} \right)_z + w \left( \DP{\bullet}{z} \right)_z$    
  $\displaystyle = \left( \DP{\bullet}{t} \right)_{\sigma} + \frac{u}{a \cos \varp...
...a} \right)_{\sigma} + \frac{v}{a} \left( \DP{\bullet}{\varphi} \right)_{\sigma}$    
  $\displaystyle \quad + \frac{g \sigma}{R^d T_v} \left\{ \left( \DP{z}{t} \right)...
...{v}{a} \left( \DP{z}{\varphi} \right)_{\sigma} -w \right\} \DP{\bullet}{\sigma}$    
  $\displaystyle = \left( \DD{\bullet}{t} \right)_{\sigma}.$ (3.72)

ここで, $ \sigma $-座標鉛直速度 $ \dot{\sigma}$ を定義する.

$\displaystyle \dot{\sigma} \equiv \frac{g \sigma}{R^d T_v} \left\{ \left( \DP{z...
...ht)_{\sigma} + \frac{v}{a} \left( \DP{z}{\varphi} \right)_{\sigma} -w \right\}.$ (3.73)

3.7.2 $ \sigma $-座標プリミティブ方程式系

3.7.2.1 静力学平衡の式

(3.67)を重力ポテンシャル $ \Phi=gz$ を用いて書けば,

$\displaystyle \DP{\Phi}{\sigma}=-\frac{R^d T_v}{\sigma}.$ (3.74)

3.7.2.2 運動方程式

水平の圧力勾配は, (3.69)および(3.70) を $ p$ に対して適用し, (3.66) を用いれば次のように変換される.

$\displaystyle \frac{1}{\rho} \left( \DP{p}{\lambda} \right)_z$ $\displaystyle = \frac{1}{\rho} \left\{ \DP[][\sigma]{p}{\lambda} + \frac{g \sigma}{R^d T_v} \DP{p}{\sigma} \DP[][\sigma]{z}{\lambda} \right\}$    
  $\displaystyle = \frac{R^d T_v}{p_s} \DP{p_s}{\lambda} + \frac{R^d T_v}{p} \frac{g \sigma}{R^d T_v} p_s \DP[][\sigma]{z}{\lambda}$    
  $\displaystyle = R^d T_v \DP[][\sigma]{\pi}{\lambda} + \DP{\Phi}{\lambda},$ (3.75)
$\displaystyle \frac{1}{\rho} \left( \DP{p}{\varphi} \right)_z$ $\displaystyle = R^d T_v \DP[][\sigma]{\pi}{\varphi} + \DP{\Phi}{\varphi}.$ (3.76)

ここで $ \pi \equiv \ln p_s$ である. したがって, 運動方程式の水平成分は,

$\displaystyle \DD{u}{t} -f v - \frac{uv}{a} \tan \varphi$ $\displaystyle = - \frac{1}{a \cos \varphi} \DP{\Phi}{\lambda} - \frac{R^d T_v}{a \cos \varphi} \DP{\pi}{\lambda} + {\cal F}_{\lambda},$ (3.77)
$\displaystyle \DD{v}{t} + fu + \frac{u^2}{a} \tan \varphi$ $\displaystyle = - \frac{1}{a} \DP{\Phi}{\varphi} - \frac{R^d T_v}{a} \DP{\pi}{\varphi} + {\cal F}_{\varphi}.$ (3.78)

3.7.2.3 連続の式

速度の発散は,

$\displaystyle \left( \Ddiv \Dvect{v} \right)_z$ $\displaystyle = \frac{1}{a \cos \varphi} \left[ \DP[][\sigma]{u}{\lambda} + \frac{g \sigma}{R^d T_v} \DP{u}{\sigma} \DP[][\sigma]{z}{\lambda} \right]$    
  $\displaystyle \quad + \frac{1}{a \cos \varphi} \left[ \left( \DP{}{\varphi} (v ...
...ght] - \frac{g \sigma}{R^d T_v} \DP{}{\sigma} \left( \DD{z}{t} \right)_{\sigma}$    
  $\displaystyle = \frac{1}{a \cos \varphi} \left[ \DP[][\sigma]{u}{\lambda} + \frac{g \sigma}{R^d T_v} \DP{u}{\sigma} \DP[][\sigma]{z}{\lambda} \right]$    
  $\displaystyle \quad + \frac{1}{a \cos \varphi} \left[ \left( \DP{}{\varphi} (v ...
...igma}{R^d T_v}\DP{}{\sigma} ( v \cos \varphi) \DP[][\sigma]{z}{\lambda} \right]$    
  $\displaystyle \quad - \frac{g \sigma}{R^d T_v} \DP{}{\sigma} \left[ \DP[][\sigm...
...} + \frac{v}{a} \DP[][\sigma]{z}{\varphi} + \dot{\sigma} \DP{z}{\sigma} \right]$    
  $\displaystyle = \frac{1}{a \cos \varphi} \DP[][\sigma]{u}{\lambda} + \frac{1}{a...
...t( \DP{}{\varphi} (v \cos \varphi) \right)_{\sigma} + \DP{\dot{\sigma}}{\sigma}$    
  $\displaystyle \quad - \frac{g \sigma}{R^d T_v} \left[ \DP{}{\sigma} \DP[][\sigm...
...P[][\sigma]{z}{\varphi} + \dot{\sigma} \DP{}{\sigma} \DP[][]{z}{\sigma} \right]$    
  $\displaystyle = ( \Ddiv{\Dvect{v}_H})_{\sigma} + \DP{\dot{\sigma}}{\sigma} + \DP{\sigma}{z} \left( \DD{}{t} \DP{z}{\sigma} \right)_{\sigma}.$ (3.79)

ここで,

$\displaystyle \Ddiv{\Dvect{v}_H} \equiv \frac{1}{a \cos \varphi} \DP[][\sigma]{...
...ac{1}{a \cos \varphi} \left( \DP{}{\varphi} (v \cos \varphi ) \right)_{\sigma}.$ (3.80)

ゆえに, $ z$- 座標連続の式は次のように変換される.

$\displaystyle \frac{1}{\rho} \left( \DD{\rho}{t} \right)_z + \left( \Ddiv{\Dvect{v}} \right)_z$ $\displaystyle = \frac{1}{\rho} \left( \DD{\rho}{t} \right)_{\sigma} + \left( \D...
...igma}}{\sigma} + \DP{\sigma}{z} \left( \DD{}{t} \DP{z}{\sigma} \right)_{\sigma}$    
  $\displaystyle = \frac{1}{\rho} \left( \DD{\rho}{t} \right)_{\sigma} + \left( \D...
...}}{\sigma} + \frac{\rho}{p_s} \left( \DD{}{t} \frac{p_s}{\rho} \right)_{\sigma}$    
  $\displaystyle = \left( \DD{\ln p_s}{t} \right)_{\sigma} + \left( \Ddiv{\Dvect{v}_H} \right)_{\sigma} + \DP{\dot{\sigma}}{\sigma}.$ (3.81)

したがって $ \pi \equiv \ln p_s$ を用いて記述すれば次のようになる.

$\displaystyle \DD{\pi}{t} + \Ddiv{\Dvect{v}_H} + \DP{\dot{\sigma}}{\sigma} = 0.$ (3.82)

3.7.2.4 熱力学の式

(3.62)の右辺第1項は次のように変換される.

$\displaystyle \frac{1}{C_p^d \rho} \DD{p}{t}$ $\displaystyle = \frac{1}{C_p^d \rho} \left\{ \DP{p}{t} + \Dvect{v}_H \cdot \nabla_{\sigma} p + \dot{\sigma} \DP{p}{\sigma} \right\}$    
  $\displaystyle = \frac{1}{C_p^d \rho} \left\{ \sigma \DP{p_s}{t} + \sigma \Dvect{v}_H \cdot \nabla_{\sigma} p_s + \dot{\sigma} p_s \right\}$    
  $\displaystyle = \frac{R^d T_v}{C_p^d} \left\{ \DP{\pi}{t} + \Dvect{v}_H \cdot \nabla_{\sigma} \pi + \frac{\dot{\sigma}}{\sigma} \right\}.$ (3.83)

ここで,

$\displaystyle \Dvect{v}_H \cdot \nabla_{\sigma} = \frac{u}{a \cos \varphi} \DP{}{\lambda} + \frac{v}{a} \DP{}{\varphi}.$ (3.84)

したがって, 熱力学の式は次のようになる.

$\displaystyle \DD{T}{t} = \frac{R^d T_v}{C_p^d} \left\{ \DP{\pi}{t} + \Dvect{v}...
...\nabla_{\sigma} \pi + \frac{\dot{\sigma}}{\sigma} \right\} + \frac{Q^*}{C_p^d}.$ (3.85)

3.7.3 境界条件

ここで, $ \sigma $ 座標における境界条件について述べる.

3.7.3.1 地表面高度


$\displaystyle \Phi = \Phi_s (\lambda, \varphi) \ \ \ \ {\rm at} \ \ \sigma=1.$ (3.86)

すなわち, $ \Phi_s$ は表面地形を表す. この境界条件を用いて, 静力学平衡 の式を鉛直積分することで, 任意の $ \sigma $ における高度 $ \Phi$ を求める ことができる.

3.7.3.2 $ \sigma $ 座標鉛直速度


$\displaystyle \dot{\sigma} = 0 \ \ \ at \ \ \sigma = 0, \ 1.$ (3.87)

3.7.3.3 水平流および熱力学変数

ここでは述べない.

3.7.4 傾向方程式

連続の式を鉛直方向に $ \sigma=0$ から $ \sigma=1$ まで積分し, $ \dot{\sigma}$ に関する境界条件を用いれば, 傾向方程式とよばれる $ \pi$ の時間変化に関する式が得られる.

$\displaystyle \frac{\partial \pi}{\partial t} = - \int_{0}^{1} \Dvect{v}_{H} \cdot \nabla_{\sigma} \pi d \sigma - \int_{0}^{1} D d \sigma.$ (3.88)

この式を用いれば, $ \dot{\sigma}$ の情報がなくても地表面気圧の時間変化 を求めることができる. なお, ここでは後のことを考えて $ \Ddiv{\Dvect{v}_H}$$ D$ と表現している. $ D$ については次節で改めて 定義する.

鉛直速度 $ \dot{\sigma}$は, 連続の式を鉛直方向に $ \sigma=0$ から $ \sigma=\sigma$ まで積分することで診断的に得られる.

$\displaystyle \dot{\sigma} = - \sigma \frac{\partial \pi}{\partial t} - \int_{0...
... d \sigma - \int_{0}^{\sigma} \Dvect{v}_{H} \cdot \nabla_{\sigma} \pi d \sigma.$ (3.89)

3.8 モデル支配方程式

3.8.1 渦度方程式

渦度の定義を再掲する.

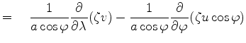
$\displaystyle \zeta \equiv \frac{1}{a \cos \varphi} \DP{v}{\lambda} - \frac{1}{a \cos \varphi} \DP{}{\varphi} ( u \cos \varphi).$ (3.90)

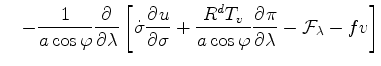
運動方程式の $ u$ の式 (3.77) に $ \frac{1}{a \cos \varphi} \DP{}{\varphi} \cos \varphi$ を 作用し, $ v$ の式 (3.78) に $ \frac{1}{a \cos \varphi} \DP{}{\lambda}$ を 作用し, この両式の差をとって変形すれば次の渦度方程式を得る.

$\displaystyle \DP{\zeta}{t}$ $\displaystyle = - \frac{1}{a \cos \varphi} \DP{}{\varphi} ( \zeta v \cos \varphi ) - \frac{1}{a \cos \varphi} \DP{}{\lambda} ( \zeta u )$    
  $\displaystyle \quad - \frac{1}{a \cos \varphi} \DP{}{\lambda} \left[ \dot{\sigm...
...sigma} + \frac{R^d T_v}{a} \DP{\pi}{\varphi} - {\cal F}_{\varphi} + f u \right]$    
  $\displaystyle \quad - \frac{1}{a \cos \varphi} \DP{}{\varphi} \left[ - \cos \va...
...\DP{\pi}{\lambda} + {\cal F}_{\lambda} \cos \varphi + f v \cos \varphi \right].$ (3.91)

(証明) (3.77), (3.78)のそれぞれ左辺第1項を, (3.72), (3.73) を用いて展開すると以下のようになる.

$\displaystyle \DP{u}{t} + \frac{u}{a \cos \varphi} \DP{u}{\lambda} + \frac{v}{a} \DP{u}{\varphi} + \dot{\sigma} \DP{u}{\sigma} - fv - \frac{uv}{a} \tan \varphi$ $\displaystyle = - \frac{1}{a \cos \varphi} \DP{\Phi}{\lambda} - \frac{R^d T_v}{a \cos \varphi} \DP{\pi}{\lambda} + {\cal F}_{\lambda},$ (3.92)
$\displaystyle \DP{v}{t} + \frac{u}{a \cos \varphi} \DP{v}{\lambda} + \frac{v}{a} \DP{v}{\varphi} + \dot{\sigma} \DP{v}{\sigma} + fu + \frac{u^2}{a} \tan \varphi$ $\displaystyle = - \frac{1}{a} \DP{\Phi}{\varphi} - \frac{R^d T_v}{a} \DP{\pi}{\varphi} + {\cal F}_{\varphi}.$ (3.93)

(3.93) に $ \DP{}{\lambda}$ を作用した式から (3.92) に $ \DP{}{\varphi} \cos \varphi$ を 作用した式を引くことで,

  $\displaystyle \quad \DP{}{\lambda} \left( \DP{v}{t} \right) + \DP{}{\lambda} \l...
...v}{\varphi} \right) + \DP{}{\lambda} \left( \dot{\sigma} \DP{v}{\sigma} \right)$    
  $\displaystyle \hspace{5em} + \DP{}{\lambda} \left( fu \right) + \DP{}{\lambda} ...
...a} \DP{\pi}{\varphi} \right) - \DP{}{\lambda} \left( {\cal F}_{\varphi} \right)$    
  $\displaystyle - \DP{}{\varphi} \left( \cos \varphi \DP{u}{t} \right) - \DP{}{\v...
...right) - \DP{}{\varphi} \left( \cos \varphi \dot{\sigma} \DP{u}{\sigma} \right)$    
  $\displaystyle \hspace{5em} + \DP{}{\varphi} \left( \cos \varphi fv \right) + \D...
...} \right) + \DP{}{\varphi} \left( \cos \varphi {\cal F}_{\lambda} \right) = 0 .$ (3.94)

(3.94)の$ \Phi$に関する 項 (左辺第7項と第16項) は打ち消しあって消える. その他の項は以下のように整理される.

時間微分の項 (第1項と第10項):

  $\displaystyle \DP{}{\lambda} \left( \DP{v}{t} \right) - \DP{}{\varphi} \left( \cos \varphi \DP{u}{t} \right)$    
$\displaystyle =$ $\displaystyle \DP{}{t} \left\{ \DP{v}{\lambda} \right\} - \DP{}{t} \left\{ \DP{}{\varphi} \left( u \cos \varphi \right) \right\}$    
$\displaystyle =$ $\displaystyle \DP{}{t} \left\{ \DP{v}{\lambda} - \DP{}{\varphi} \left( u \cos \varphi \right) \right\}$    
$\displaystyle =$ $\displaystyle a \cos \varphi \DP{\zeta}{t}.$ (3.95)

速度の2階水平微分の項その1 (第3, 12, 15項):

  $\displaystyle \DP{}{\lambda} \left( \frac{v}{a} \DP{v}{\varphi} \right) - \DP{}...
...P{u}{\varphi} \right) + \DP{}{\varphi} \left( \frac{uv}{a} \sin \varphi \right)$    
$\displaystyle =$ $\displaystyle \frac{1}{a} \DP{v}{\lambda} \DP{v}{\varphi} + \frac{v}{a} \DP{{}^...
...t( \cos \varphi \DP{u}{\varphi} + u \DP{\cos \varphi}{\varphi} \right) \right\}$    
$\displaystyle =$ $\displaystyle \DP{}{\varphi} \left( \frac{v}{a} \DP{v}{\lambda} \right) - \DP{}...
...rphi} \left\{ \frac{v}{a} \DP{}{\varphi} \left( u \cos \varphi \right) \right\}$    
$\displaystyle =$ $\displaystyle \DP{}{\varphi} \left\{ \left( \frac{1}{a \cos \varphi} \DP{v}{\la...
...i} \DP{}{\varphi} \left( u \cos \varphi \right) \right) v \cos \varphi \right\}$    
$\displaystyle =$ $\displaystyle \DP{}{\varphi} \left( \zeta v \cos \varphi \right) .$ (3.96)

速度の2階水平微分の項その2 (第2, 6, 11項):

  $\displaystyle \DP{}{\lambda} \left( \frac{u}{a \cos \varphi} \DP{v}{\lambda} \r...
...tan \varphi \right) - \DP{}{\varphi} \left( \frac{u}{a} \DP{u}{\lambda} \right)$    
$\displaystyle =$ $\displaystyle \DP{}{\lambda} \left( \frac{u}{a \cos \varphi} \DP{v}{\lambda} \r...
...tan \varphi \right) - \DP{}{\lambda} \left( \frac{u}{a} \DP{u}{\varphi} \right)$    
$\displaystyle =$ $\displaystyle \DP{}{\lambda} \left( \frac{u}{a \cos \varphi} \DP{v}{\lambda} \r...
... \varphi} \left( u \sin \varphi - \cos \varphi \DP{u}{\varphi} \right) \right\}$    
$\displaystyle =$ $\displaystyle \DP{}{\lambda} \left( \frac{u}{a \cos \varphi} \DP{v}{\lambda} \r...
... - u \DP{\cos \varphi}{\varphi} - \cos \varphi \DP{u}{\varphi} \right) \right\}$    
$\displaystyle =$ $\displaystyle \DP{}{\lambda} \left( \frac{u}{a \cos \varphi} \DP{v}{\lambda} \r...
... \frac{u}{a \cos \varphi} \DP{}{\varphi} \left( u \cos \varphi \right) \right\}$    
$\displaystyle =$ $\displaystyle \DP{}{\lambda} \left( \zeta u \right) .$ (3.97)

ここで, 2 行目の第3項の変形には, (3.96)の 2, 3 行目で第1項に対して用いた変形を用いた.

(3.94)を (3.95), (3.96), (3.97) を用いて整理し, 両辺に $ \frac{1}{a \cos \varphi}$ を掛けることで, (3.91)が得られる.

(証明終り)

3.8.2 発散方程式

発散の定義を再掲する.

$\displaystyle D \equiv \frac{1}{a \cos \varphi} \DP{u}{\lambda} + \frac{1}{a \cos \varphi} \DP{}{\varphi} ( v \cos \varphi).$ (3.98)

運動方程式の $ u$ の式 (3.77) に $ \frac{1}{a \cos \varphi} \DP{}{\lambda}$ を作用し, $ v$ の式 (3.78) に $ \frac{1}{a \cos \varphi} \DP{}{\varphi} \cos \varphi$ を作用し, 両式の和をとって変形すると次の発散方程式を得る.

$\displaystyle \DP{D}{t}$ $\displaystyle = \quad \frac{1}{a \cos \varphi} \DP{}{\lambda} ( \zeta v ) - \frac{1}{a \cos \varphi} \DP{}{\varphi} ( \zeta u \cos \varphi)$    
  $\displaystyle \quad - \frac{1}{a \cos \varphi} \DP{}{\lambda} \left[ \dot{\sigm...
...c{R^d T_v}{a \cos \varphi} \DP{\pi}{\lambda} - {\cal F}_{\lambda} - f v \right]$    
  $\displaystyle \quad - \frac{1}{a \cos \varphi} \DP{}{\varphi} \left[ \cos \varp...
... \DP{\pi}{\varphi} - {\cal F}_{\varphi} \cos \varphi + f u \cos \varphi \right]$    
  $\displaystyle \quad - \nabla^2_{\sigma} ( \Phi + KE).$ (3.99)

ここで,

$\displaystyle \nabla^2_{\sigma}$ $\displaystyle = \frac{1}{a^2 \cos^2 \varphi} \DP[2]{}{\lambda} + \frac{1}{a^2 \cos \varphi} \DP{}{\varphi} \left( \cos \varphi \DP{}{\varphi} \right),$ (3.100)
$\displaystyle KE$ $\displaystyle = \frac{u^2 + v^2}{2}.$ (3.101)

(証明) (3.92) に $ \DP{}{\lambda}$ を作用した式と (3.93) に $ \DP{}{\varphi} \cos \varphi$ を作用した式との和をとることで,

  $\displaystyle \quad \DP{}{\lambda} \left( \DP{u}{t} \right) + \DP{}{\lambda} \l...
...u}{\varphi} \right) + \DP{}{\lambda} \left( \dot{\sigma} \DP{u}{\sigma} \right)$    
  $\displaystyle \hspace{5em} - \DP{}{\lambda} \left( fv \right) - \DP{}{\lambda} ...
...i} \DP{\pi}{\lambda} \right) - \DP{}{\lambda} \left( {\cal F}_{\lambda} \right)$    
  $\displaystyle + \DP{}{\varphi} \left( \cos \varphi \DP{v}{t} \right) + \DP{}{\v...
...right) + \DP{}{\varphi} \left( \cos \varphi \dot{\sigma} \DP{v}{\sigma} \right)$    
  $\displaystyle \hspace{5em} + \DP{}{\varphi} \left( \cos \varphi fu \right) + \D...
...ht) + \DP{}{\varphi} \left( \cos \varphi \frac{1}{a} \DP{\Phi}{\varphi} \right)$    
  $\displaystyle \hspace{10em} + \DP{}{\varphi} \left( \cos \varphi \frac{R^d T_v}...
...} \right) - \DP{}{\varphi} \left( \cos \varphi {\cal F}_{\varphi} \right) = 0 .$ (3.102)

この式は以下のように整理される.

時間微分の項 (第1項と第10項):

  $\displaystyle \DP{}{\lambda} \left( \DP{u}{t} \right) + \DP{}{\varphi} \left( \cos \varphi \DP{v}{t} \right)$    
$\displaystyle =$ $\displaystyle \DP{}{t} \left\{ \DP{u}{\lambda} \right\} + \DP{}{t} \left\{ \DP{}{\varphi} \left( v \cos \varphi \right) \right\}$    
$\displaystyle =$ $\displaystyle \DP{}{t} \left\{ \DP{u}{\lambda} + \DP{}{\varphi} \left( v \cos \varphi \right) \right\}$    
$\displaystyle =$ $\displaystyle a \cos \varphi \DP{D}{t}.$ (3.103)

$ \Phi$に関する項 (第7項と第16項):

  $\displaystyle \DP{}{\lambda} \left( \frac{1}{a \cos \varphi} \DP{\Phi}{\lambda}...
...ht) + \DP{}{\varphi} \left( \cos \varphi \frac{1}{a} \DP{\Phi}{\varphi} \right)$    
$\displaystyle =$ $\displaystyle a \cos \varphi \left\{ \frac{1}{a^2 \cos^2 \varphi} \DP[2]{}{\lam...
...varphi} \DP{}{\varphi} \left( \cos \varphi \DP{}{\varphi} \right) \right\} \Phi$    
$\displaystyle =$ $\displaystyle a \cos \varphi \ \nabla^2_{\sigma} \Phi .$ (3.104)

速度の2階水平微分の項その1 (第2, 12項):

  $\displaystyle \DP{}{\lambda} \left( \frac{u}{a \cos \varphi} \DP{u}{\lambda} \right) + \DP{}{\varphi} \left( \cos \varphi \frac{v}{a} \DP{v}{\varphi} \right)$    
$\displaystyle =$ $\displaystyle \frac{1}{2 a \cos \varphi} \DP[2]{u^2}{\lambda} + \frac{1}{2a} \DP{}{\varphi} \left( \cos \varphi \DP{v^2}{\varphi} \right)$    
$\displaystyle =$ $\displaystyle \left\{ \frac{1}{a \cos \varphi} \DP[2]{}{\lambda} + \frac{1}{a} ...
...right) - \DP{}{\varphi} \left( \cos \varphi \frac{u}{a} \DP{u}{\varphi} \right)$    
$\displaystyle =$ $\displaystyle a \cos \varphi \ \nabla^2_{\sigma} KE - \DP{}{\lambda} \left( \fr...
...ght) - \DP{}{\varphi} \left( \cos \varphi \frac{u}{a} \DP{u}{\varphi} \right) .$ (3.105)

第2項と第3項については, これ以降の項の整理の際に再登場する.

速度の2階水平微分の項その2 (第3, 6項, (3.105)の第2項):

  $\displaystyle \DP{}{\lambda} \left( \frac{v}{a} \DP{u}{\varphi} \right) - \DP{}...
...right) - \DP{}{\lambda} \left( \frac{v}{a \cos \varphi} \DP{v}{\lambda} \right)$    
$\displaystyle =$ $\displaystyle \DP{}{\lambda} \left\{ \frac{v}{a \cos \varphi} \DP{}{\varphi} \l...
...ight\} - \DP{}{\lambda} \left( \frac{v}{a \cos \varphi} \DP{v}{\lambda} \right)$    
$\displaystyle =$ $\displaystyle - \DP{}{\lambda} \left\{ v \left( \frac{1}{a \cos \varphi} \DP{v}...
...}{a \cos \varphi} \DP{}{\varphi} \left( u \cos \varphi \right) \right) \right\}$    
$\displaystyle =$ $\displaystyle - \DP{}{\lambda} (\zeta v) .$ (3.106)

速度の2階水平微分の項その3 (第11, 15項, (3.105)の第3項):

  $\displaystyle \DP{}{\varphi} \left( \frac{u}{a} \DP{v}{\lambda} \right) + \DP{}...
...right) - \DP{}{\varphi} \left( \cos \varphi \frac{u}{a} \DP{u}{\varphi} \right)$    
$\displaystyle =$ $\displaystyle \DP{}{\varphi} \left( \frac{u}{a} \DP{v}{\lambda} \right) + \DP{}...
...rac{u}{a} \left( u \sin \varphi - \cos \varphi \DP{u}{\varphi} \right) \right\}$    
$\displaystyle =$ $\displaystyle \DP{}{\varphi} \left( \frac{u}{a} \DP{v}{\lambda} \right) - \DP{}...
...t( u \DP{\cos \varphi}{\varphi} + \cos \varphi \DP{u}{\varphi} \right) \right\}$    
$\displaystyle =$ $\displaystyle \DP{}{\varphi} \left( \frac{u}{a} \DP{v}{\lambda} \right) - \DP{}...
...rphi} \left\{ \frac{u}{a} \DP{}{\varphi} \left( u \cos \varphi \right) \right\}$    
$\displaystyle =$ $\displaystyle \DP{}{\varphi} \left\{ u \cos \varphi \left( \frac{1}{a \cos \var...
...}{a \cos \varphi} \DP{}{\varphi} \left( u \cos \varphi \right) \right) \right\}$    
$\displaystyle =$ $\displaystyle \DP{}{\varphi} \left( \zeta u \cos \varphi \right) .$ (3.107)

(3.102)を (3.103), (3.104), (3.105), (3.106), (3.107) を用いて整理し, 両辺に $ \frac{1}{a \cos \varphi}$ を掛けることで, (3.99)が得られる.

(証明終り)

3.8.3 熱力学の式

(3.85)より

\begin{align*}\begin{split}\DP{T}{t} \ &= \ - \Dinv{a \cos \varphi} \DP{(u T)}{\...
...{ \dot{\sigma} }{ \sigma } \right) + \frac{Q^{*}}{C_p} . \end{split}\end{align*} (3.108)

ここで,

$\displaystyle \kappa = \frac{R^d}{C_p^d}$ (3.109)

である.

3.8.4 温度の基本場とずれの分離

仮温度 $ T_v$ を次のように $ \sigma $ のみに依存する場 $ \overline{T}_v(\sigma)$ と, そこからのずれ成分 $ T'_v$ にわけて記述する.

渦度方程式で $ T_v$ を含む項は次のように変形される。

  $\displaystyle - \frac{1}{a \cos \varphi} \DP{}{\lambda} \left[ \frac{R^d T_v}{a...
...\cos \varphi} \DP{}{\varphi} \left[ \frac{R^d T_v}{a} \DP{\pi}{\lambda} \right]$    
$\displaystyle =$ $\displaystyle - \frac{1}{a \cos \varphi} \DP{}{\lambda} \left[ \frac{R^d \overl...
...phi} \DP{}{\lambda} \left[ \frac{R^d T_v^{\prime}}{a} \DP{\pi}{\varphi} \right]$    
  $\displaystyle + \frac{1}{a \cos \varphi} \DP{}{\varphi} \left[ \frac{R^d \overl...
...phi} \DP{}{\varphi} \left[ \frac{R^d T_v^{\prime}}{a} \DP{\pi}{\lambda} \right]$    
$\displaystyle =$ $\displaystyle - \frac{1}{a \cos \varphi} \left\{ \frac{R^d \overline{T}_v}{a} \...
...}{\varphi} \left[ \frac{R^d T_v^{\prime}}{a} \DP{\pi}{\lambda} \right] \right\}$    
$\displaystyle =$ $\displaystyle - \frac{1}{a \cos \varphi} \left\{ \DP{}{\lambda} \left[ \frac{R^...
...\varphi} \left[ \frac{R^d T_v^{\prime}}{a} \DP{\pi}{\lambda} \right] \right\} .$ (3.110)

発散方程式で $ T_v$ を含む項は次のように変形される.

  $\displaystyle - \frac{1}{a \cos \varphi} \DP{}{\lambda} \left[ \frac{R^d T_v}{a...
... \DP{}{\varphi} \left[ \frac{R^d T_v}{a} \cos \varphi \DP{\pi}{\varphi} \right]$    
$\displaystyle =$ $\displaystyle - \frac{1}{a \cos \varphi} \DP{}{\lambda} \left[ \frac{R^d \overl...
...ambda} \left[ \frac{R^d T_v^{\prime}}{a \cos \varphi} \DP{\pi}{\lambda} \right]$    
  $\displaystyle - \frac{1}{a \cos \varphi} \DP{}{\varphi} \left[ \frac{R^d \overl...
...arphi} \left[ \frac{R^d T_v^{\prime}}{a} \cos \varphi \DP{\pi}{\varphi} \right]$    
$\displaystyle =$ $\displaystyle - \frac{1}{a^2 \cos^2 \varphi} \DP[2]{}{\lambda} \left( R^d \over...
...ambda} \left[ \frac{R^d T_v^{\prime}}{a \cos \varphi} \DP{\pi}{\lambda} \right]$    
  $\displaystyle - \frac{1}{a^2 \cos \varphi} \DP{}{\varphi} \left[ \cos \varphi \...
...arphi} \left[ \frac{R^d T_v^{\prime}}{a} \cos \varphi \DP{\pi}{\varphi} \right]$    
$\displaystyle =$ $\displaystyle - \nabla_{\sigma}^2 \left( R^d \overline{T}_v \pi \right) - \frac...
...phi} \left[ \frac{R^d T_v^{\prime}}{a} \cos \varphi \DP{\pi}{\varphi} \right] .$ (3.111)

ここで

$\displaystyle \nabla_{\sigma}^{2}$ $\displaystyle \equiv \frac{1}{a^{2} \cos^2 \varphi} \DP[2]{}{\lambda} + \frac{1}{a^{2} \cos \varphi} \DP{}{\varphi} \left( \cos \varphi \DP{}{\varphi} \right)$ (3.112)

を用いた.

熱力学の式では, 温度 $ T$$ \sigma $ のみに依存する場 $ \overline{T}(\sigma)$ と, そこからのずれ成分 $ T'$ にわけて記述する. すなわち, 右辺第1-3項は次のように変形される.

  $\displaystyle \quad - \Dinv{a \cos \varphi} \DP{(u T)}{\lambda} - \Dinv{a \cos \varphi} \DP{(v T \cos \varphi)}{\varphi} + T D$    
  $\displaystyle = - \Dinv{a \cos \varphi} \left\{ \DP{(u \overline{T})}{\lambda} ...
...{(v T^{\prime} \cos \varphi)}{\varphi} \right\} + \overline{T} D + T^{\prime} D$    
  $\displaystyle = - \Dinv{a \cos \varphi} \left\{ \overline{T} \DP{u}{\lambda} + ...
...(v \cos \varphi)}{\varphi} + \DP{(v T^{\prime} \cos \varphi)}{\varphi} \right\}$    
  $\displaystyle \qquad \qquad + \overline{T} \left[ \frac{1}{a \cos \varphi} \DP{...
...frac{1}{a \cos \varphi} \DP{}{\varphi} ( v \cos \varphi) \right] + T^{\prime} D$    
  $\displaystyle = - \Dinv{a \cos \varphi} \DP{(u T^{\prime})}{\lambda} - \Dinv{a \cos \varphi} \DP{(v T^{\prime} \cos \varphi)}{\varphi} + T^{\prime} D .$ (3.113)

3.8.5 変数変換

支配方程式系における変数を, モデル内部で用いている変数に変換する. まず, $ \mu \equiv \sin \varphi$ を導入する. また速度場 $ u, v$ $ U \equiv u
\cos \varphi$, $ V \equiv \cos \varphi$ に変換する. このとき, 水平風の渦度 $ \zeta$ と発散 $ D$ は次のように 変換され, この表現をあらためて $ \zeta$ および $ D$ と定義する.

$\displaystyle \zeta$ $\displaystyle = \frac{1}{a \cos \varphi} \DP{v}{\lambda} - \frac{1}{a \cos \varphi} \DP{}{\varphi} ( u \cos \varphi)$    
  $\displaystyle = \frac{1}{a \cos^2 \varphi} \DP{v \cos \varphi}{\lambda} - \frac{1}{a \cos \varphi} \DP{}{\varphi} ( u \cos \varphi)$    
  $\displaystyle = \frac{1}{a ( 1- \mu^2 )} \DP{V}{\lambda} - \frac{1}{a} \DP{U}{\mu},$ (3.114)

$\displaystyle D$ $\displaystyle = \frac{1}{a \cos \varphi} \DP{u}{\lambda} + \frac{1}{a \cos \varphi} \DP{}{\varphi} ( v \cos \varphi)$    
  $\displaystyle = \frac{1}{a \cos^2 \varphi} \DP{u \cos \varphi}{\lambda} + \frac{1}{a \cos \varphi} \DP{}{\varphi} ( v \cos \varphi)$    
  $\displaystyle = \frac{1}{a ( 1-\mu^2)} \DP{U}{\lambda} + \frac{1}{a} \DP{V}{\mu}.$ (3.115)

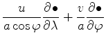
水平風による移流は次のように変換される.

$\displaystyle \frac{u}{a \cos\varphi}\DP{\bullet}{\lambda} + \frac{v}{a} \DP{\bullet}{\varphi}$ $\displaystyle = \frac{1}{a \cos^2 \varphi} \left\{ \DP{}{\lambda} (u \cos \varphi \bullet) - \bullet \DP{}{\lambda} ( u \cos \varphi ) \right\}$    
  $\displaystyle \quad + \frac{1}{a \cos \varphi} \left\{ \DP{}{\varphi} (v \cos \varphi \bullet) - \bullet \DP{}{\varphi} ( v \cos \varphi ) \right\}$    
  $\displaystyle = \frac{1}{a (1-\mu^2)} \DP{}{\lambda} (U\bullet) -\frac{\bullet}...
...P{U}{\lambda} +\frac{1}{a} \DP{}{\mu} (V\bullet) -\frac{\bullet}{a} \DP{V}{\mu}$    
  $\displaystyle = \frac{1}{a (1-\mu^2)} \DP{}{\lambda} (U\bullet) +\frac{1}{a} \DP{}{\mu} (V\bullet) -\bullet D.$ (3.116)

水平風による移流のもうひとつの記述を連続の式の変換のために示す.

$\displaystyle \frac{u}{a \cos\varphi}\DP{\bullet}{\lambda} + \frac{v}{a} \DP{\bullet}{\varphi}$ $\displaystyle = \frac{u \cos \varphi }{a \cos^2 \varphi}\DP{\bullet}{\lambda} + \frac{v \cos \varphi }{a \cos \varphi } \DP{\bullet}{\varphi}$    
  $\displaystyle = \frac{U}{a (1-\mu^2)} \DP{\bullet}{\lambda} + \frac{V}{a} \DP{\bullet}{\mu}$    
  $\displaystyle \equiv \Dvect{v}_H \cdot \Dgrad_{\sigma} \bullet.$ (3.117)

3.8.6 支配方程式の最終形

以上を用いて方程式系を記述すれば次のようになる.

連続の式

$\displaystyle \DP{\pi}{t} + \Dvect{v}_H \cdot \Dgrad_{\sigma} \pi = - D - \DP{\dot{\sigma}}{\sigma}.$ (3.118)

静水圧の式

$\displaystyle \DP{\Phi}{\sigma}=-\frac{R^d T_v}{\sigma}.$ (3.119)

運動方程式

$\displaystyle \DP{\zeta}{t}$ $\displaystyle = \ \Dinv{a} \left( \Dinv{1-\mu^2} \DP{V_A}{\lambda} - \DP{U_A}{\mu} \right),$ (3.120)
$\displaystyle \DP{D}{t}$ $\displaystyle = \ \Dinv{a} \left( \Dinv{1-\mu^2} \DP{U_A}{\lambda} + \DP{V_A}{\mu} \right) - \nabla^{2}_{\sigma} ( \Phi + R \overline{T} \pi +$   KE$\displaystyle ) .$ (3.121)

ここで,

$\displaystyle U_A\ (\varphi, \lambda, \sigma)$ $\displaystyle \equiv ( \zeta + f ) V - \dot{\sigma} \DP{U}{\sigma} - \frac{R T_v^{\prime}}{a} \DP{\pi}{\lambda} + {\cal F}_{\lambda} \cos \varphi,$ (3.122)
$\displaystyle V_A\ (\varphi, \lambda, \sigma)$ $\displaystyle \equiv - ( \zeta + f ) U - \dot{\sigma} \DP{V}{\sigma} - \frac{R T_v^{\prime}}{a} (1-\mu^2) \DP{\pi}{\mu} + {\cal F}_{\varphi} \cos \varphi .$ (3.123)

熱力学の式

\begin{align*}\begin{split}\DP{T}{t} \ &= \ - \Dinv{a} \left( \Dinv{1-\mu^2} \DP...
...{ \dot{\sigma} }{ \sigma } \right) + \frac{Q^{*}}{C_p} . \end{split}\end{align*} (3.124)

水蒸気の式

$\displaystyle \DP{q}{t} \ $ $\displaystyle = \ - \Dinv{a \cos \varphi} \left( \Dinv{1-\mu^2} \DP{U q}{\lambda} + \DP{V q}{\mu} \right) + q D - \dot{\sigma} \DP{q}{\sigma} + S_{q} .$ (3.125)

(3.16)で導入した $ Q^*$ から粘性による寄与 $ C_p \mathcal{D}(\Dvect{v})$ を再び分離し, $ Q^*=Q+C_p \mathcal{D}(\Dvect{v})$ とする. 一般に粘 性は運動方程式において適当なパラメタリゼーションによって表現する. また, 渦度, 発散, 温度, 水蒸気の式に対してそれぞれ水平拡散項 $ \mathcal{D}(\zeta)$, $ \mathcal{D}(D)$, $ \mathcal{D}(T)$, $ \mathcal{D}(q)$ をつける. この項の付加は主に数値的安定性の要請 によるものであるが, 物理的には後で行なう離散化のスケール以下の運動を表 現していると解釈できる. 最後に, 乾燥大気の気体定数および定圧比熱 $ R^d$, $ C_p^d$ をそれぞれ $ R$, $ C_p$ のようにあらためて置きなおせば, dcpam5の力学過程の支配方程式系を得る.

3.9 参考文献

Haltiner, G.J., Williams, R.T., 1980: Numerical Prediction and Dynamic Meteorology (2nd ed.). John Wiley & Sons, 477pp.



... 理想気体の状態方程式を用いる3.1
乾燥空気と水蒸気は, 同じ速度と温度をもつことを暗黙のうちに仮定 している. したがって, 水蒸気に関する運動量保存則および全エネルギー保存 則および状態方程式を考慮する必要がない.
... 水蒸気の生成消滅を無視すれば3.2
次で示すように水蒸気式では生成消滅を含めている. したがって, 全大気の質量保存則は, 水蒸気の生成消滅が起きても全質量が 保存するように, 乾燥大気量が変化することを 要請していることになる.
... の引力によるポテンシャル3.3
これは遠心力を考慮しない惑星の質量にのみ起因 したポテンシャル.
... 連続の式を用いて変形することで得られる3.4
導出の過程を示す. 左辺第1項と第2項は次のように変形される.

$\displaystyle v_i \DP{}{t} ( \rho v_i ) + v_i \DP{}{x_j} ( \rho v_j v_i )$ $\displaystyle = \DP{}{t} ( \rho v_i^2 ) + \DP{}{x_j} ( \rho v_j v_i^2 ) - \rho ...
...frac{1}{2} v_i^2 \right) - \rho v_j \DP{}{x_j} \left( \frac{1}{2} v_i^2 \right)$    
  $\displaystyle = \DP{}{t} ( \rho v_i^2 ) + \DP{}{x_j} ( \rho v_j v_i^2 ) - \DP{}...
...1}{2} \rho v_i^2 \right) - \DP{}{x_j} \left( \frac{1}{2} v_i^2 \rho v_j \right)$    
  $\displaystyle \quad + \frac{1}{2} v_i^2 \DP{\rho}{t} + \frac{1}{2} v_i^2 \DP{}{x_j} ( \rho v_j )$    
  $\displaystyle = \DP{}{t} \left( \frac{1}{2} \rho v_i^2 \right) + \DP{}{x_j} ( \...
...2 ) + \frac{1}{2} v_i^2 \left\{ \DP{\rho}{t} + \DP{}{x_j} ( \rho v_j ) \right\}$    
  $\displaystyle = \DP{}{t} \left( \frac{1}{2} \rho v_i^2 \right) + \DP{}{x_j} ( \frac{1}{2} \rho v_j v_i^2 ).$    

また, 左辺第5項は次のように変形される. 変形の際には $ \DP{\Phi^*}{t}=0$ であるとしている.

$\displaystyle v_i \rho \DP{\Phi^*}{x_i}$ $\displaystyle = \Phi^* \left\{ \DP{\rho}{t} + \DP{}{x_i}(\rho v_i) \right\} + \rho \DP{\Phi^*}{t} + v_i \rho \DP{\Phi^*}{x_i}$    
  $\displaystyle = \DP{}{t} ( \rho \Phi^* ) + \DP{}{x_i} ( \rho \Phi^* v_i ).$    

... で近似すると3.5
この近似には疑問が残る. 状態方程式においては, 気体定数 $ R$$ R^d$ とする近似は (仮温度 $ T_v$ を導入することで)行なわなかった. $ C_p$ についてだけ近似するのは近似のレベルに 一貫性がないように思われる.

以下はその主張. 混合比 $ r=\rho^v/\rho^d$ を用いている. 全大気の内部 エネルギーは

$\displaystyle \rho \varepsilon$ $\displaystyle = \rho^d \varepsilon^d + \rho^v \varepsilon^v$    
  $\displaystyle = \rho^d C_v^d T + \rho^v C_v^v T$    
  $\displaystyle = \rho \left( \frac{ \rho^d C_v^d + \rho^v C_v^v}{\rho} \right) T$    
  $\displaystyle = \rho \left( \frac{ C_v^d + r C_v^v }{ 1+r } \right) T,$    

となる. したがって,

$\displaystyle C_v \equiv \frac{ C_v^d + r C_v^v }{ 1+r },
$

である. また,

$\displaystyle R \equiv \frac{R^d + r R^v}{1+r}
\left( = R^d \frac{ 1 + r/\epsilon}{1+r} \right) ,
$

であるから,

$\displaystyle C_p$ $\displaystyle = C_v + R$    
  $\displaystyle = \frac{ C_v^d + r C_v^v + R^d + r R^v }{1+r}$    
  $\displaystyle = \frac{ C_p^d + r C_p^v}{1+r}$    
  $\displaystyle = C_p^d \frac{ 1+rC_p^v/C_p^d}{1+r}$    
  $\displaystyle \sim C_p^d \frac{ 1+ 8 r/7 \epsilon}{1+r},$    

となる. ここで, $ C_p^d = ( C_v^d+R^d ) \sim ( \frac{5}{2}R^d +R^d ) =
\frac{7}{2} R^d $, および $ C_p^v = ( C_v^v + R^v ) \sim ( 3R^v + R^v
) = 4 R^v$ を用いた. 熱力学の式では, この状況に対して, $ C_p \sim
C_p^d$ と近似した. しかし, 静力学平衡の式では, たった $ 8/7$ の違いなの に $ R$$ R^d$ に近似せず, 仮温度の導入により厳密に 取り扱おうとしている.
... が成りたつ3.6
これは自明のこととしたい. スカラー $ \psi$ の座標変換は座標変換テ ンソルに依存しない(で同じ値をとる)からである.

一方, ベクトルの座標変換は, 座標変換テンソルとの積で表現され る. したがって, 座標変換テンソル自体が時間変化する場合, 当然ベク トルの時間微分は座標変換テンソルの時間微分の影響を受ける.

... 動エネルギーの時間変化に寄与しないことがわかる3.7
遠心力を重力加速度から分離してエネルギーの式で考慮すると, この寄与はキャンセルすることなく残る.

next up previous
: A. 使用上の注意とライセンス規定 : dcpam5 支配方程式系の導出に関する参考資料 : 2. 座標系の取り方
Yasuhiro MORIKAWA 平成21年3月17日