next up previous
: 4. 惑星大気の物理定数 : dcpam5 支配方程式系とその離散化 : 2. 座標系・変換公式


3. 力学過程

3.1 はじめに

この章では力学過程の支配方程式を記し, その支配方程式の離散化を 行う.

ここで述べる力学過程とは, 流体の支配方程式における外力項を除いた部分を指す. 外力項である放射や鉛直乱流拡散や雲などに関する過程については 別紙を参照のこと.

離散化については, 空間に関する離散化である鉛直離散化と, 水平離散化の方法ならびに時間に関する離散化を行う.

3.2 支配方程式

ここでは力学過程の支配方程式系を示す. この方程式系の詳細に関しては, Haltiner and Williams (1980) もしくは 別紙『 支配方程式系の導出に関する参考資料』 の『力学過程の支配方程式系の導出』を参照せよ.

3.2.1 連続の式


$\displaystyle \DP{\pi}{t} + \Dvect{v}_H \cdot \nabla_{\sigma} \pi$ $\displaystyle = - D - \DP{\dot{\sigma}}{\sigma}.$ (3.1)

3.2.2 静水圧の式


$\displaystyle \DP{\Phi}{\sigma} = - \frac{RT_v}{\sigma}.$ (3.2)

3.2.3 運動方程式


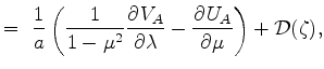
$\displaystyle \DP{\zeta}{t} \ $ $\displaystyle = \ \Dinv{a} \left( \Dinv{1 - \mu^2} \DP{V_A}{\lambda} - \DP{U_A}{\mu} \right) + {\cal D}(\zeta),$ (3.3)
$\displaystyle \DP{D}{t} \ $ $\displaystyle = \ \Dinv{a} \left( \Dinv{1 - \mu^2} \DP{U_A}{\lambda} + \DP{V_A}{\mu} \right) - \nabla^{2}_{\sigma} ( \Phi + R \overline{T} \pi +$   KE$\displaystyle ) + {\cal D}(D).$ (3.4)

3.2.4 熱力学の式


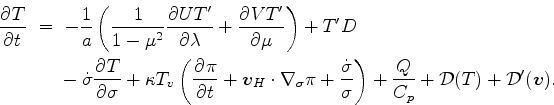
\begin{align*}\begin{split}\DP{T}{t} \ &= \ - \Dinv{a} \left( \Dinv{1 - \mu^2} \...
...ac{Q}{C_p} + {\cal D}(T) + {\cal D}^{\prime}(\Dvect{v}). \end{split}\end{align*} (3.5)

3.2.5 水蒸気の式


\begin{align*}\begin{split}\DP{q}{t} \ &= \ - \Dinv{a} \left( \Dinv{1 - \mu^2} \...
...uad - \dot{\sigma} \DP{q}{\sigma} + S_{q} + {\cal D}(q). \end{split}\end{align*} (3.6)

ここで, 独立変数は以下の通りである.

$\displaystyle \varphi$ $\displaystyle : \quad 緯度 [\mathrm{deg.}],$ (3.7)
$\displaystyle \lambda$ $\displaystyle : \quad 経度 [\mathrm{deg.}],$ (3.8)
$\displaystyle \sigma$ $\displaystyle \equiv p/p_s,$ (3.9)
$\displaystyle t$ $\displaystyle : \quad 時間 [\mathrm{s}].$ (3.10)

ここで, $ p$は気圧, $ p_s$ は地表面気圧である. また $ \mu \equiv \sin \varphi$ である.

モデルで時間発展を計算することとなる予報変数は以下の通りである.

$\displaystyle \pi\ (\varphi, \lambda)$ $\displaystyle \equiv \ln p_s,$ (3.11)
$\displaystyle T\ (\varphi, \lambda, \sigma)$ $\displaystyle : \quad 気温 [\mathrm{K}],$ (3.12)
$\displaystyle q\ (\varphi, \lambda, \sigma)$ $\displaystyle : \quad 比湿 [\mathrm{kg}\ \mathrm{kg}^{-1}],$ (3.13)
$\displaystyle \zeta\ (\varphi, \lambda, \sigma)$ $\displaystyle \equiv \Dinv{a} \left( \Dinv{1 - \mu^2} \DP{V}{\lambda} - \DP{U}{\mu} \right) : \quad 渦度 [\mathrm{s}^{-1}],$ (3.14)
$\displaystyle D\ (\varphi, \lambda, \sigma)$ $\displaystyle \equiv \Dinv{a} \left( \Dinv{1 - \mu^2} \DP{U}{\lambda} + \DP{V}{\mu} \right) : \quad 発散 [\mathrm{s}^{-1}].$ (3.15)

ここで,

$\displaystyle U(\varphi, \lambda, \sigma)$ $\displaystyle \equiv u(\varphi, \lambda, \sigma) \cos \varphi,$ (3.16)
$\displaystyle V(\varphi, \lambda, \sigma)$ $\displaystyle \equiv v(\varphi, \lambda, \sigma) \cos \varphi,$ (3.17)
$\displaystyle u$ $\displaystyle :$   東西風速$\displaystyle ,$ (3.18)
$\displaystyle v$ $\displaystyle :$   南北風速 (3.19)

である. 流線関数$ \psi$と速度ポテンシャル$ \chi$を導入すると, $ U$, $ V$, $ \zeta$, $ D$はそれぞれ以下のように表わされる.

$\displaystyle U$ $\displaystyle = \Dinv{a} \left( \DP{\chi}{\lambda} - (1-\mu^2) \DP{\psi}{\mu} \right),$ (3.20)
$\displaystyle V$ $\displaystyle = \Dinv{a} \left( \DP{\psi}{\lambda} + (1-\mu^2) \DP{\chi}{\mu} \right),$ (3.21)
$\displaystyle \zeta$ $\displaystyle = \Dlapla \psi,$ (3.22)
$\displaystyle D$ $\displaystyle = \Dlapla \chi.$ (3.23)

各時間ステップで診断的に求められる変数は以下の通りである.

$\displaystyle \Phi$ $\displaystyle \equiv gz : \quad ジオポテンシャル高度 [\mathrm{m}^{2}\ \mathrm{s}^{-2}],$ (3.24)
$\displaystyle \dot{\sigma}$ $\displaystyle \equiv \DD{\sigma}{t} \ \equiv \ \DP{\sigma}{t} + \frac{u}{a \cos...
... \DP{\sigma}{\lambda} + \frac{v}{a} \DP{\sigma}{\varphi} + \DP{\sigma}{\sigma},$ (3.25)
$\displaystyle \overline{T}\ (\sigma)$ $\displaystyle : \quad 基準温度 [\mathrm{K}],$ (3.26)
$\displaystyle T^{\prime}\ (\varphi, \lambda, \sigma)$ $\displaystyle \equiv T - \overline{T},$ (3.27)
$\displaystyle T_v\ (\varphi, \lambda, \sigma)$ $\displaystyle \equiv T \left\{ 1 + \left(\epsilon_v^{-1} - 1\right) q \right\},$ (3.28)
$\displaystyle T_v^{\prime}\ (\varphi, \lambda, \sigma)$ $\displaystyle \equiv T_v - \overline{T},$ (3.29)
$\displaystyle U_A\ (\varphi, \lambda, \sigma)$ $\displaystyle \equiv ( \zeta + f ) V - \dot{\sigma} \DP{U}{\sigma} - \frac{R T_v^{\prime}}{a} \DP{\pi}{\lambda} + {\cal F}_{\lambda} \cos \varphi,$ (3.30)
$\displaystyle V_A\ (\varphi, \lambda, \sigma)$ $\displaystyle \equiv - ( \zeta + f ) U - \dot{\sigma} \DP{V}{\sigma} - \frac{R T_v^{\prime}}{a} (1-\mu^2) \DP{\pi}{\mu} + {\cal F}_{\varphi} \cos \varphi,$ (3.31)
$\displaystyle \Dvect{v}_H \cdot \nabla_{\sigma} \pi$ $\displaystyle \equiv \frac{U}{a (1 - \mu^2)} \DP{\pi}{\lambda} + \frac{V}{a} \DP{\pi}{\mu}$ (3.32)
$\displaystyle \nabla^{2}_{\sigma}$ $\displaystyle \equiv \frac{1}{a^{2} (1-\mu^2)} \DP[2]{}{\lambda} + \frac{1}{a^{2}} \DP{}{\mu} \left[ (1-\mu^2) \DP{}{\mu} \right],$ (3.33)
KE$\displaystyle \ (\varphi, \lambda, \sigma)$ $\displaystyle \equiv \frac{U^{2}+V^{2}}{2 (1-\mu^2) }$ (3.34)
$\displaystyle {\cal D}(\zeta)$ $\displaystyle : \qquad 渦度水平拡散,$ (3.35)
$\displaystyle {\cal D}(D)$ $\displaystyle : \qquad 発散水平拡散,$ (3.36)
$\displaystyle {\cal D}(T)$ $\displaystyle : \qquad 温度水平拡散,$ (3.37)
$\displaystyle {\cal D}(q)$ $\displaystyle : \qquad 比湿水平拡散,$ (3.38)
$\displaystyle {\cal F}_\lambda \ (\varphi, \lambda, \sigma)$ $\displaystyle : \qquad 小規模運動過程 (経度方向),$ (3.39)
$\displaystyle {\cal F}_\varphi \ (\varphi, \lambda, \sigma)$ $\displaystyle : \qquad 小規模運動過程 (緯度方向),$ (3.40)
$\displaystyle Q \ (\varphi, \lambda, \sigma)$ $\displaystyle : \qquad 放射, 凝結, 小規模運動過程等による加熱・温度変化,$ (3.41)
$\displaystyle S_q \ (\varphi, \lambda, \sigma)$ $\displaystyle : \qquad 凝結, 小規模運動過程等による水蒸気ソース,$ (3.42)
$\displaystyle {\cal D}' \ (\Dvect{v})$ $\displaystyle : \qquad 摩擦熱.$ (3.43)

各水平拡散(3.35)〜(3.38) に関しては3.2.7節で説明される. 定数は以下の通りである.

$\displaystyle a$ $\displaystyle : \quad 惑星半径 [\mathrm{m}],$ (3.44)
$\displaystyle R$ $\displaystyle : \quad 乾燥大気の気体定数 [\mathrm{J\ kg}^{-1}\ \mathrm{K}^{-1}],$ (3.45)
$\displaystyle C_p$ $\displaystyle : \quad 乾燥大気の大気定圧比熱 [\mathrm{J\ kg}^{-1}\ \mathrm{K}^{-1}],$ (3.46)
$\displaystyle f$ $\displaystyle : \quad コリオリパラメータ [\mathrm{s}^{-1}],$ (3.47)
$\displaystyle \kappa$ $\displaystyle \equiv R/C_p,$ (3.48)
$\displaystyle \epsilon_v$ $\displaystyle : \quad 水蒸気分子量比.$ (3.49)

3.2.6 境界条件

鉛直流に関する境界条件は

$\displaystyle \dot{\sigma} = 0 \ \ \ at \ \ \sigma = 0 , \ 1 .$ (3.50)

である. よって(3.1) から, 地表気圧の時間変化式と $ \sigma$系での鉛直速度 $ \dot{\sigma}$を求める診断式

$\displaystyle \DP{\pi}{t} = - \int_{0}^{1} \Dvect{v}_{H} \cdot \nabla_{\sigma} \pi d \sigma - \int_{0}^{1} D d \sigma ,$ (3.51)

$\displaystyle \dot{\sigma} = - \sigma \DP{\pi}{t} - \int_{0}^{\sigma} D d \sigma - \int_{0}^{\sigma} \Dvect{v}_{H} \cdot \nabla_{\sigma} \pi d \sigma ,$ (3.52)

が導かれる.


3.2.7 波数依存型の水平拡散項

水平拡散項は, 次のように $ \nabla^{N_D}$の形で計算する.

$\displaystyle {\cal D}(\zeta) = - K_{HD} \left[ (-1)^{N_D/2} \nabla^{N_D} - \left( \frac{2}{a^2} \right)^{N_D/2} \right] \zeta ,$ (3.53)

$\displaystyle {\cal D}(D) = - K_{HD} \left[ (-1)^{N_D/2} \nabla^{N_D} - \left( \frac{2}{a^2} \right)^{N_D/2} \right] D ,$ (3.54)

$\displaystyle {\cal D}(T) = - (-1)^{N_D/2} K_{HD} \nabla^{N_D} T ,$ (3.55)

$\displaystyle {\cal D}(q) = - (-1)^{N_D/2} K_{HD} \nabla^{N_D} q .$ (3.56)

この水平拡散項は計算の安定化のための意味合いが強い. 小さなスケールに選択的な水平拡散を表すため, $ N_D$としては, 4$ \sim$16を用いる.

3.3 鉛直離散化

ここでは支配方程式を鉛直方向に離散化する. Arakawa and Suarez(1983) に従って, (3.1)〜(3.6) を鉛直方向に差分によって離散化する. 各方程式の離散化表現は次のようになる.

3.3.1 連続の式, 鉛直速度


$\displaystyle \DP{\pi}{t}$ $\displaystyle = - \sum_{k=1}^{K} ( D_k + \Dvect{v}_k \cdot \nabla \pi ) \Delta \sigma_k,$ (3.57)
$\displaystyle \dot{\sigma}_{k-1/2}$ $\displaystyle = - \sigma_{k-1/2} \DP{\pi}{t} - \sum_{l=k}^{K} ( D_l + \Dvect{v}_l \cdot \nabla \pi ) \Delta \sigma_l \qquad (k = 2, \cdots, K),$ (3.58)
$\displaystyle \dot{\sigma}_{1/2}$ $\displaystyle = \dot{\sigma}_{K+1/2} = 0.$ (3.59)

ここで,

$\displaystyle \Dvect{v}_k \cdot \nabla \pi = \frac{U_k}{a (1-\mu^2)} \DP{\pi}{\lambda} + \frac{V_k}{a (1-\mu^2)} (1-\mu^2) \DP{\pi}{\mu}.$ (3.60)

3.3.2 静水圧の式


\begin{align*}\begin{split}\Phi_{1} & = \Phi_{s} + C_{p} ( \sigma_{1}^{-\kappa} - 1 ) T_{v,1} \\ & = \Phi_{s} + C_{p} \alpha_{1} T_{v,1}. \end{split}\end{align*} (3.61)

\begin{align*}\begin{split}\Phi_k - \Phi_{k-1} & = C_{p} \left[ \left( \frac{ \s...
... = C_{p} \alpha_k T_{v,k} + C_{p} \beta_{k-1} T_{v,k-1}. \end{split}\end{align*} (3.62)

ここで,

$\displaystyle \alpha_k$ $\displaystyle = \left( \frac{ \sigma_{k-1/2} } { \sigma_k } \right)^{\kappa} -1 ,$ (3.63)
$\displaystyle \beta_k$ $\displaystyle = 1- \left( \frac{ \sigma_{k+1/2} } { \sigma_k } \right)^{\kappa} ,$ (3.64)
$\displaystyle \Phi_{s}$ $\displaystyle = gz_{s}$ (3.65)

であり, $ z_{s}$は地表面高度である.

3.3.3 運動方程式


$\displaystyle \DP{\zeta_k}{t}$ $\displaystyle = \Dinv{a} \left( \Dinv{1 - \mu^2} \DP{{V_A}_{,k}}{\lambda} - \DP{{U_A}_{,k}}{\mu} \right) + {\cal D}(\zeta_k),$ (3.66)
$\displaystyle \DP{D}{t} \ $ $\displaystyle = \Dinv{a} \left( \Dinv{1 - \mu^2} \DP{{U_A}_{,k}}{\lambda} + \DP...
...t) - \nabla^{2}_{\sigma} ( \Phi_k + C_{p} \hat{\kappa}_k \overline{T}_k \pi + ($KE$\displaystyle )_k ) + {\cal D}(D_k).$ (3.67)

ここで,

\begin{align*}\begin{split}{U_A}_{,1} & = ( \zeta_1 + f ) V_1 - \frac{1}{2 \Delt...
... \DP{\pi}{\lambda} + {\cal F}_{\lambda, K} \cos \varphi, \end{split}\end{align*} (3.68)

\begin{align*}\begin{split}{V_A}_{,1} & = - ( \zeta_1 + f ) U_1 - \frac{1}{2 \De...
...u^2) \DP{\pi}{\mu} + {\cal F}_{\varphi, K} \cos \varphi, \end{split}\end{align*} (3.69)

\begin{align*}\begin{split}\hat{\kappa}_k & = \frac{ \sigma_{k-1/2}( \sigma^{\ka...
...\alpha_k + \sigma_{k+1/2} \beta_k } { \Delta \sigma_k }, \end{split}\end{align*} (3.70)
$\displaystyle %
T_{v,k}'$ $\displaystyle = T_{v,k} - \overline{T}_k,$ (3.71)
$\displaystyle %
($KE$\displaystyle )_k$ $\displaystyle = \frac{U^{2}_k + V^{2}_k}{2 (1-\mu^2)}.$ (3.72)

3.3.4 熱力学の式


\begin{align*}\begin{split}\DP{T_k}{t} & = - \Dinv{a \cos \varphi} \left( \Dinv{...
...frac{Q_k}{C_{p}} + {\cal D}(T_k) + {\cal D}'(\Dvect{v}). \end{split}\end{align*} (3.73)

ここで,

\begin{align*}\begin{split}\hat{H}_k & \equiv T_k' D_k - \frac{1}{\Delta \sigma_...
...la \pi ) \Delta \sigma_K \frac{T_{v,K}}{\Delta \sigma_K} \end{split}\end{align*} (3.74)

であり,

\begin{align*}\begin{split}\hat{T}_{k-1/2} & = \frac{ \left[ \left( \displaystyl...
... K), \\ \hat{T}_{1/2} & = 0, \\ \hat{T}_{K + 1/2} & = 0, \end{split}\end{align*} (3.75)

$\displaystyle a_k$ $\displaystyle = \alpha_k \left[ 1- \left( \frac{ \sigma_k }{ \sigma_{k-1} } \right)^{\kappa} \right]^{-1},$ (3.76)
$\displaystyle b_k$ $\displaystyle = \beta_k \left[ \left( \frac{ \sigma_k }{ \sigma_{k+1} } \right)^{\kappa} - 1 \right]^{-1} .$ (3.77)

3.3.5 水蒸気の式


$\displaystyle \DP{q_k}{t}$ $\displaystyle = - \Dinv{a} \left( \Dinv{1 - \mu^2} \DP{U_k q_k}{\lambda} + \DP{V_k q_k}{\mu} \right) + R_k + S_{q,k} + {\cal D}(q_k).$ (3.78)

ここで,

\begin{align*}\begin{split}R_1 &= q_1 D_1 - \frac{1}{2 \Delta \sigma_1} \dot{\si...
...Delta \sigma_K} \dot{\sigma}_{K-1/2} ( q_{K-1} - q_K ) . \end{split}\end{align*} (3.79)

3.4 水平離散化

ここでは支配方程式を水平離散化する. 水平方向の離散化はスペクトル変換法を用いる(Bourke, 1988). 経度, 緯度に関する微分の項は直交関数展開によって評価し, 一方, 非線型項は格子点上で計算する. 各方程式のスペクトル表現は以下のようになる. 詳しくは, 第A章 を参照せよ.

3.4.1 連続の式


$\displaystyle \DP{\tilde{\pi}_n^m}{t}$ $\displaystyle = - \sum_{k=1}^{K} (\tilde{D}_n^m)_k \Delta \sigma_k + \frac{1}{I} \sum_{i=1}^{I} \sum_{j=1}^{J} Z_{ij} Y_n^{m *} ( \lambda_i, \mu_j ) w_j.$ (3.80)

ここで,

$\displaystyle Z \equiv - \sum_{k=1}^{K} \Dvect{v}_k \cdot \nabla \pi \Delta \sigma_k.$ (3.81)

3.4.2 運動方程式


\begin{align*}\begin{split}\DP{\tilde{\zeta}_n^m}{t} & = \frac{1}{I} \sum_{i=1}^...
... \\ & \quad + \tilde{\cal D}_{M,n}^m \tilde{\zeta}_n^m , \end{split}\end{align*} (3.82)
\begin{align*}\begin{split}\DP{\tilde{D}_n^m}{t} & = \frac{1}{I} \sum_{i=1}^{I} ...
...{T}_k \pi_n^m ) + \tilde{\cal D}_{M,n}^m \tilde{D}_n^m . \end{split}\end{align*} (3.83)

ここで,

$\displaystyle \tilde{\cal D}_{M,n}^m = - K_{HD} \left[ \left( \frac{-n(n+1)}{a^{2}} \right)^{N_D/2} - \left( \frac{2}{a^2} \right)^{N_D/2} \right] .$ (3.84)

3.4.3 熱力学の式


\begin{align*}\begin{split}\DP{\tilde{T}_n^m}{t} & = - \frac{1}{I} \sum_{i=1}^{I...
...D}'_{ij}(\Dvect{v}) Y_n^{m *} ( \lambda_i, \mu_j ) w_j . \end{split}\end{align*} (3.85)

ここで,

$\displaystyle \tilde{\cal D}_{H,n}^m = - K_{HD} \left( \frac{-n(n+1)}{a^{2}} \right)^{N_D/2} .$ (3.86)

3.4.4 水蒸気の式


\begin{align*}\begin{split}\DP{\tilde{q}_n^m}{t} & = - \frac{1}{I} \sum_{i=1}^{I...
... w_j \\ & \quad + \tilde{\cal D}_{H,n}^m \tilde{q}_n^m . \end{split}\end{align*} (3.87)

3.5 時間積分

ここでは時間積分スキームについて記す.

時間差分スキームは基本的に leap frog である. ただし, 拡散項および物理過程の項は後方差分もしくは前方差分とする. 計算モードを抑えるために時間フィルター(Asselin, 1972)を用いる. さらに$ \Delta t$ を大きくとるために, 重力波の項に semi-implicit の手法を適用する(Bourke, 1988).

3.5.1 leap frog による時間積分と時間フィルター

移流項等の時間積分スキームとして leap frog を用いる. 水平拡散項には $ 2 \Delta t$ の後方差分を使用する. 物理過程の項( $ {\cal F}_\lambda, {\cal F}_\varphi, Q, S_q$)には $ 2 \Delta t$ の前方差分を使用する. ただし, 鉛直拡散の時間変化項の計算に関しては後方差分的な取扱いをする. また, 対流・凝結過程に関しては 一度それらを考慮せずに時間積分して, その後で場を修正するという形式をとる(adjustment). 摩擦熱の項も補正として扱う.

各予報変数の総体を $ {\cal A}$ と表すと,

$\displaystyle \hat{\cal A}^{t+\Delta t} = \bar{\cal A}^{t-\Delta t} + 2 \Delta ...
...ight) + 2 \Delta t \dot{\cal A}_{phy}\left( \bar{\cal A}^{t-\Delta t} \right) .$ (3.88)

$ \dot{\cal A}_{adv} $ は移流項等, $ \dot{\cal A}_{dif} $ は水平拡散項, $ \dot{\cal A}_{phy} $ は物理過程等による項である.

$ \hat{\cal A}^{t+\Delta t} $ には, 摩擦熱( $ \dot{\cal A}_{dis} $)および 対流・凝結過程( $ \dot{\cal A}_{cnd} $)の補正が加えられ, $ {\cal A}^{t+\Delta t} $ となる.

$\displaystyle {\cal A}^{t+\Delta t} = \hat{\cal A}^{t+\Delta t} + 2 \Delta t \d...
...ight) + 2 \Delta t \dot{\cal A}_{cnd}\left( \hat{\cal A}^{t+\Delta t} \right) .$ (3.89)

leap frog における計算モードの除去のために Asselin(1972) の時間フィルターを毎ステップ適用する. すなわち,

$\displaystyle \bar{\cal A}^{t} = ( 1-2 \epsilon_f ) {\cal A}^{t} + \epsilon_f \left( \bar{\cal A}^{t-\Delta t} + {\cal A}^{t+\Delta t} \right)$ (3.90)

$ \bar{\cal A}$を求める. $ \epsilon_f$ はフィルターの係数であり, 標準的な値である 0.05 を使用する.

3.5.2 semi-implicit 時間積分

方程式系において, $ T=\overline{T}_k$ であるような静止場を基本場とする 線型重力波項とそれ以外の項に分離する. 後者には非重力波項 (Non Gravity wave terms) として添字NGを付ける. 鉛直方向のベクトル表現 $ \Dvect{A}=\{ A_{k} \}$, および行列表現 $ \underline{A}=\{ A_{kl} \}$ を用いて,

$\displaystyle \DP{\pi}{t} = \left( \frac{\partial \pi}{\partial t} \right)^{\rm NG} - \Dvect{C} \cdot \Dvect{D} ,$ (3.91)

$\displaystyle \frac{\partial \Dvect{D}}{\partial t} = \left( \DP{\Dvect{D}}{t} ...
...{\Phi}_{s} + \underline{W} \Dvect{T} + \Dvect{G} \pi ) + {\cal D}_M \Dvect{D} ,$ (3.92)

$\displaystyle \DP{\Dvect{T}}{t}$ $\displaystyle = \left( \DP{\Dvect{T}}{t} \right)^{\rm NG} - \underline{h} \Dvect{D} + {\cal D}_H \Dvect{T}$ (3.93)

となる 3.1. ここで, 非重力波項は,

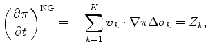
$\displaystyle \left( \DP{\pi}{t} \right)^{\rm NG} = - \sum_{k=1}^{K} \Dvect{v}_{k} \cdot \nabla \pi \Delta \sigma_{k} = Z_{k} ,$ (3.94)

\begin{align*}\begin{split}\dot{\sigma}^{\rm NG}_{k-1/2} &= - \sigma_{k-1/2} \le...
...k}^{K} \Dvect{v}_{l} \cdot \nabla \pi \Delta \sigma_{l}, \end{split}\end{align*} (3.95)

\begin{align*}\begin{split}\left( \DP{D_{k}}{t} \right)^{\rm NG} &= \Dinv{a} \le...
...{K} W_{kl} ( T_{v,l}-T_{l} ) \right] + {\cal D}(D_{k}) , \end{split}\end{align*} (3.96)

$\displaystyle \left( \DP{T_{k}}{t} \right)^{\rm NG} = - \Dinv{a} \left\{ \Dinv{...
..._k T'_k}{\mu} \right\} + H_{k} + {\cal D}(T_{k}) + {\cal D}^{\prime}(\Dvect{v})$ (3.97)

である. ここで,

\begin{align*}\begin{split}H_k & = T_{k}^{\prime} D_{k} \\ & \quad - \frac{1}{\D...
...lta \sigma_{K} + T'_{v,K} D_K \Delta \sigma_{K} \right], \end{split}\end{align*} (3.98)

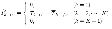
$\displaystyle \hat{T}_{k-1/2}' = \left\{ \begin{array}{ll} 0 , & \text{($k = 1$...
..., & \text{($k = 2, \cdots, K$)} \\ 0 , & \text{($k = K+1$)} \end{array} \right.$ (3.99)

$\displaystyle \hat{\overline{T}}_{k-1/2} = \left\{ \begin{array}{ll} 0 , & \tex...
..., & \text{($k = 2, \cdots, K$)} \\ 0 , & \text{($k = K+1$)} \end{array} \right.$ (3.100)

である. また, 重力波項のベクトルおよび行列は,

$\displaystyle C_{k}$ $\displaystyle = \Delta \sigma_{k} ,$ (3.101)
$\displaystyle W_{kl}$ $\displaystyle = C_{p} \alpha_{l} \delta_{k \geq l} + C_{p} \beta_{l} \delta_{k-1 \geq l} ,$ (3.102)
$\displaystyle G_{k}$ $\displaystyle = \hat{\kappa}_{k} C_{p} \overline{T}_{k} ,$ (3.103)
$\displaystyle \underline{h}$ $\displaystyle = \underline{Q}\underline{S} - \underline{R} ,$ (3.104)
$\displaystyle Q_{kl}$ $\displaystyle = \frac{1}{\Delta \sigma_{k}} ( \hat{\overline{T}}_{k-1/2} - \ove...
... \sigma_{k}} ( \overline{T}_{k} - \hat{\overline{T}}_{k+1/2} ) \delta_{k+1=l} ,$ (3.105)
$\displaystyle S_{kl}$ $\displaystyle = \sigma_{k-1/2} \Delta \sigma_{l} - \Delta \sigma_{l} \delta_{k \leq l } ,$ (3.106)
$\displaystyle R_{kl}$ $\displaystyle = - \left( \frac{ \alpha_{k} }{ \Delta \sigma_{k} } \Delta \sigma...
...a \sigma_{k} } \Delta \sigma_{l} \delta_{k+1 \leq l} \right) \overline{T}_{k} .$ (3.107)

ここで, 例えば $ \delta_{k \leq l}$ は, $ k \leq l$ が成り立つとき 1, そうでないとき 0 となる関数である.

以下では, 次のような表現を使用する.

$\displaystyle \delta_{t} {\cal A}$ $\displaystyle \equiv \frac{1}{2 \Delta t} \left( {\cal A}^{t+\Delta t} - {\cal A}^{t-\Delta t} \right) ,$ (3.108)
$\displaystyle \overline{\cal A}^{t}$ $\displaystyle \equiv \frac{1}{2} \left( {\cal A}^{t+\Delta t} + {\cal A}^{t-\Delta t} \right) = {\cal A}^{t-\Delta t} + \delta_{t} {\cal A} \Delta t .$ (3.109)

方程式系に semi-implicit 法を適用すると,

$\displaystyle \delta_{t} \pi = \left( \DP{\pi}{t} \right)^{\rm NG} - \Dvect{C} \cdot \overline{ \Dvect{D} }^{t} ,$ (3.110)

$\displaystyle \delta_{t} \Dvect{D} = \left( \DP{\Dvect{D}}{t} \right)^{\rm NG} ...
...} ) + {\cal D}_M ( \Dvect{D}^{t-\Delta t} + 2 \Delta t \delta_{t} \Dvect{D} ) ,$ (3.111)

$\displaystyle \delta_{t} \Dvect{T} = \left( \DP{\Dvect{T}}{t} \right)^{\rm NG} ...
...{t} + {\cal D}_H ( \Dvect{T}^{t-\Delta t} + 2 \Delta t \delta_{t} \Dvect{T} ) .$ (3.112)

(3.110), (3.111), (3.112) より,

\begin{align*}\begin{split}& \left[ ( 1-2\Delta t {\cal D}_H )( 1-2\Delta t {\ca...
...a t \left( \DP{\pi}{t} \right)^{\rm NG} \right] \right\} \end{split}\end{align*} (3.113)

となる. ここで $ \underline{I}$は単位行列, $ \Dvect{C}^{T}$$ \Dvect{C}$の 転置ベクトルである. 球面調和関数展開を用いているので,

$\displaystyle \nabla^{2}_{\sigma} = - \frac{n(n+1)}{a^{2}}$ (3.114)

であり, (3.113) を $ \overline{ \Dvect{D}_n^m }^{t}$ について解くことができる. その後,

$\displaystyle D^{t+\Delta t} = 2\overline{ \Dvect{D} }^{t} - D^{t-\Delta t}$ (3.115)

および, (3.110), (3.112) により $ t+\Delta t$ における値 $ \hat{\cal A}^{t+\Delta t} $ が求められる.

3.6 参考文献

Arakawa, A., Suarez, M. J., 1983: Vertical differencing of the primitive equations in sigma coordinates. Mon. Wea. Rev., 111, 34-35.

Asselin, R. A., 1972: Frequency filter for time integrations. Mon. Wea. Rev., 100, 487-490.

Bourke, W.P., 1988: Spectral methods in global climate and weather prediction models. Physically-Based Modelling and Simulation of Climates and Climatic Change. Part I., M.E. Schlesinger (ed.), Kluwer Academic Publishers, Dordrecht, 169-220.

Haltiner, G.J., Williams, R.T., 1980: Numerical Prediction and Dynamic Meteorology (2nd ed.). John Wiley & Sons, 477pp.

石岡 圭一, 2004: スペクトル法による数値計算入門 . 東京大学出版会, 232pp.



... となる3.1
念のため注記しておくと, $ \Dvect{\Phi}_{s} = (\Phi_{s}, \Phi_{s}, \cdots, \Phi_{s})$ である.

next up previous
: 4. 惑星大気の物理定数 : dcpam5 支配方程式系とその離散化 : 2. 座標系・変換公式
Yasuhiro MORIKAWA 平成21年3月6日